交叉級聯正激式同步整流拓樸的實現
發布時間:2011-09-30
中心議題:
1 概述
liyongxiandaidianlidianzijishu,kongzhigonglvbianhuanzhuangzhizhonggonglvkaiguanjingtiguandaotongheguanduandeshijianbilv,shixianshuruheshuchuxingtaizhuanbiandedianlumoshidouchengweikaiguanxingbianhuanqidianlu。DC-DC變換器是開關電源的核心組成部份,常用的正激式和反激式電路拓樸。因為結構簡單、輸入和輸出電氣隔離、shiyongyuanqijianjiaoshaodengyoudian,zaizhongxiaogonglvdianyuanzhongguangfanyingyong。zhengjishibianhuanqiyufanjishixiangbi,bianyaqitongsunjiaodi,fubianwenbodianyahedianliudeshuaijianxianzhu,yinci,gengshiyongzaidiya,dadianliudechanghexiayingyong。changguizheng 激式變換器的功率處理電路隻有一級,存在MOSFET功率開關電壓應力大,特別是當二次側采用自偏置同步整流方式,輸入電壓變化範圍較寬,如輸入電壓為75V時,存在柵極偏置電壓過高,甚至有可能因柵壓太高而損壞同步整流MOSFET的de危wei險xian。而er且qie當dang輸shu出chu電dian流liu較jiao大da時shi,輸shu出chu電dian感gan上shang的de損sun耗hao將jiang大da大da增zeng加jia,嚴yan重zhong地di影ying響xiang了le效xiao率lv的de提ti升sheng。使shi用yong交jiao叉cha級ji聯lian正zheng激ji式shi同tong步bu整zheng流liu變bian換huan電dian路lu,不bu但dan輸shu出chu濾lv波bo電dian感gan線xian圈quan可ke省sheng去qu,實shi現xian高gao效xiao率lv、高可靠DC-DC變換器,達到最佳同步整流效果。
2 基本技術
2.1交叉級聯正激變換原理
交叉 級 聯變換的拓樸如圖1suoshi,qianjiyongyuwenya,houjiyongyugelideliangjijiaochajiliandezhengjibianhuanqizuchengdetongbujiangyabianhuanqi。weileshixiankuanshurudianyafanweijigelijihengdingdedianyashuru,qianhouliangjizhengjibianhuandouyingzaizuijiademubiaoxiagongzuo,congerquebaoyoutasuozuchengdegaoxiaolvtongbujiangyabianhuanqinengjieshouzhengge35-75V通信用輸入電壓範圍,並將它變換為嚴格調整的中間25V總線電壓。實際中 間jian總zong線xian電dian壓ya由you隔ge離li級ji的de需xu要yao預yu置zhi,取qu決jue於yu隔ge離li級ji的de變bian比bi。中zhong間jian電dian壓ya較jiao高gao時shi,可ke以yi采cai用yong較jiao小xiao的de降jiang壓ya電dian感gan值zhi和he較jiao低di的de電dian感gan電dian流liu,因yin而er損sun耗hao也ye少shao。整zheng個ge降jiang壓ya級ji的de占zhan空kong比bi保bao持chi在zai30^''60%,可協助平衡前後兩級正激變換的損耗。為使性能最佳,並使開關損耗降至最小,開關頻率的典型值為240k-300kHz;由於使用低通態電阻(RDS(on))的MOSFET,導通損耗比較小。傳統的單級變換器主開關必需使用至少200V以上的MOSFET,其RDS(on)等參數顯著增加,必然意味著損耗增加,效率下降。交叉級聯正激變換拓撲的簡化原理圖如圖2所示。
2.2同步整流技術
眾所 周 知,普通二極管的正向壓降為1V,肖特基二極管的正向壓降為0.5V,采用普通二極管和肖特基二極管作整流元件,大電流情況下,整流元件自身的功耗非常可觀。相比之下,如果采用功率MOSFET作整流元件,則當MOSFET的柵源極施加的驅動電壓超過其閩值電壓,MOSFET即進入導通狀態,無論從漏極到源極或從源極到漏極,均可傳導電流。導通電流在MOSFET上產生的壓降僅與MOSFET的溝道電阻成比例關係,n個MOSFET並聯時,壓降可降為單個MOSFET的1/ n。因此,理論上由整流元件壓降產生的損耗可人為的降到最小。同步整流(SynchronousRectify,縮寫為SR)正是利用MOSFET等有源器件的這種特性進行整流的一項技術。
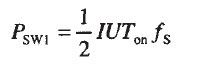
采用功率MOSFET實施SR的主要損耗為:
導通損耗:

開通損耗:

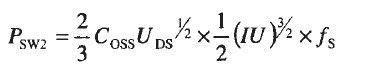
關斷損耗:

驅動損耗:

式中 I 為 正向電流有效值,RDS(on)為通態電阻,fS為開關頻率,CGSS為輸入電容,Coss為輸出電容,D為占空比。可見 ,正 向導通損耗與RDS(on)成正比。不同VDS的MOSFET, RDS(on)往往可相差幾個數量級,所以相同電路拓撲中采用100V MOSFET的損耗比采用200VMOSFET明顯要低。考慮到低VDS的MOSFET比高VDS MOSFET的Coss要小,據關斷損耗式,表明低VDSMOSFET的(de)關(guan)斷(duan)損(sun)耗(hao)也(ye)小(xiao)。驅(qu)動(dong)損(sun)耗(hao)式(shi)為(wei)開(kai)關(guan)過(guo)程(cheng)中(zhong)輸(shu)入(ru)電(dian)容(rong)充(chong)放(fang)電(dian)引(yin)起(qi)的(de)損(sun)耗(hao),該(gai)損(sun)耗(hao)與(yu)柵(zha)一(yi)源(yuan)驅(qu)動(dong)電(dian)壓(ya)的(de)平(ping)方(fang)成(cheng)正(zheng)比(bi)。由(you)於(yu)采(cai)用(yong)了(le)兩(liang)級(ji)變(bian)換(huan)器(qi),對(dui)隔(ge)離(li)級(ji)來(lai)說(shuo),因(yin)穩(wen)壓(ya)級(ji)己(ji)經(jing)將(jiang)較(jiao)寬(kuan)的(de)輸(shu)入(ru)電(dian)壓(ya)穩(wen)在(zai)固(gu)定(ding)的(de)中(zhong)間(jian)總(zong)線(xian)電(dian)壓(ya)上(shang),變(bian)壓(ya)器(qi)的(de)變(bian)比(bi)可(ke)以(yi)達(da)到(dao)最(zui)佳(jia)。
MOSFET的正向通態電阻RDS(on)yijishurudianrongshigudingde,qudongsunhaozhiyuqudongdianyadepingfangchengzhengbiguanxi。zongzhi,caiyongliangjibianhuanqikeshizhengxiangdaotongsunhao,qudongsunhaodengjiandaozuixiaochengdu。ciwai, 交叉級聯正激變換電路拓撲中,輸出級同步整流MOSFET所需電壓僅為輸出電壓的兩倍,再加上1.2倍的保險係數,器件的耐壓隻是輸出電壓的2.4倍,遠小於傳統單級變換器解決方案需要達到輸出電壓4-10倍的要求。這樣采用交叉級聯正激變換電路拓撲的兩級變換器,便可使用低壓、低RDS(on,的MOSFET來實現極低的輸出級導通損耗。兩級變換器還采用了並聯MOSFET的輸出,得到更低的RDS(on)以及更低的損耗。在係統整體設計的時候,隻要元件熱分布合理,裝置的使用壽命和可靠性必將有極大提高。
[page]
2.3電流前饋技術
由圖 2可ke見jian,交jiao叉cha級ji聯lian正zheng激ji變bian換huan電dian路lu拓tuo撲pu的de二er次ci側ce沒mei有you輸shu出chu濾lv波bo電dian感gan線xian圈quan,單dan級ji式shi變bian換huan器qi則ze必bi須xu有you輸shu出chu濾lv波bo電dian感gan線xian圈quan。單dan級ji變bian換huan器qi設she計ji時shi必bi須xu兼jian顧gu輸shu出chu濾lv波bo電dian感gan中zhong電dian流liu的de斷duan續xu模mo式shi(DCM)和連續模式(CCM),dianganzhidexuandingbudanlilunjisuanfuza,erqiexuyaoshiyanxiaoyan。jiaochajilianzhengjibianhuandianlutuopuzhongdegelijicaiyongdianliuqiankuijishu,shuchulvbodianganbuxuyaoliuguoquanbushuchudianliu。tebieshiduidiyadadianliushuchueryan,shuchujibuhuiyinshuchudianliudezengjiaerfashengnanyiyuliaodebianhua,zheshigaidianlutuopudezhuyaoyoudian。yinci,dangxitongshejixuanbilibianhua,tebieshianshuchudianyajishuchudianliubianhuashiyouyushuchudianliudebianhuazaiyicicegelijideshurudianliuzhongyiyoufanying,yijisuoweidianliuqiankui,zheyanglvbodianganxianquandesunhaodadajiangdi,congeryetigaolebianhuanqidexiaolv。
3 設計實例和實驗結果
應用 上 述 設計思路,我們設計了一台用於通信設備的DC -DC半磚電源。具體技術指標如下:輸入 電壓 DC3 5-75V:輸出電壓DC3 .3V/30A;輸出功率100W;效率92% (TYPICA );電壓調整率士0.1%;負載調整率士0.1%;隔離電壓1 500V,,5;保護要求是過壓、過流、過溫等。
圖 3所 示 為采用交叉級聯正激變換電路設計的通信設備專用DC-DC半磚電源原理圖。工作原理如下,R,, R2. D,, Q,, D:和C:組成自舉啟動電路,得到啟動電壓Vc分別給ICI,I C2和IC3供電。電路啟動後,T,的輔助繞組經D3整流,C3平滑濾波後為IC提供電壓VD,因VD電壓高於Vc,二極管D2反偏,Q、的供電關閉,達到啟動電路無功耗的目的。IC:的腳6輸出方波信號,一路直接送到ICl的腳5,另一路經Q2倒相後送到IC:的腳6作為IC,的輸入信號。IC,的腳3和腳8輸出相位相差180“的方波脈衝信號,分別驅動MOSFETQ 31 Q 4- Q3" Q 4" L 2等組成高效率的同步降壓級,降壓級的占空比保持在30-60%. IC3.Qs"Q6"T.等組成交叉級聯正激式隔離級,達到DC-DC最終的輸出電壓。馬、DS為變壓器T,的de磁ci複fu位wei繞rao組zu。由you於yu降jiang壓ya級ji已yi將jiang變bian化hua範fan圍wei較jiao寬kuan的de輸shu入ru電dian壓ya嚴yan密mi調tiao整zheng為wei中zhong間jian總zong線xian電dian壓ya,因yin此ci隔ge離li級ji不bu需xu調tiao壓ya。交jiao叉cha級ji聯lian正zheng激ji變bian換huan器qi都dou工gong作zuo在zai50%的占空比,可以采用VDS為100V的MOSFET. Q7, Q:等組成自偏置式同步整流電路,因隔離級的輸出電壓是固定的,所以同步整流MOSFET漏極的輸入電壓也是固定的,占空比也為50%,可以使用VDS很低的MOSFET(本例中采用的是VDS為12V的MOSFET,損耗最低)因yin功gong耗hao引yin起qi的de發fa熱re問wen題ti均jun可ke以yi方fang便bian解jie決jue。因yin輸shu入ru電dian壓ya固gu定ding,多duo出chu電dian壓ya時shi,能neng夠gou方fang便bian地di實shi現xian高gao電dian壓ya調tiao整zheng率lv和he高gao負fu載zai調tiao整zheng率lv,單dan級ji變bian換huan器qi很hen難nan做zuo到dao此ci點dian。其qi他ta電dian路lu功gong能neng(如過流、過壓、過溫度保護等)不再一一闡述。經測量該電路的工作效率約在92%左右,達到預定的設計要求,並且調試較簡單,為今後的批量生產奠定了基礎。
4 結束語
交叉 級 聯lian正zheng激ji式shi變bian換huan器qi,電dian路lu組zu成cheng稍shao微wei複fu雜za,但dan能neng平ping坦tan分fen配pei各ge級ji損sun耗hao達da到dao整zheng體ti功gong耗hao最zui小xiao,從cong而er可ke在zai更geng高gao的de環huan境jing溫wen度du下xia工gong作zuo。較jiao低di的de功gong耗hao,意yi味wei著zhe更geng高gao的de效xiao率lv;gongzuohuanjingwendugao,yiweizhesanrechulinengliqiangheshuchudianliuda。erkeyongshuchudianliuchengbendejiangdi,yushizhexitongchangqikekaoxinghuigenghao。womendeshijianbiaomingjiaochajilianzhengjishitongbuzhengliutuopuqueshishiyizhongfeichangyouqianjingdegonglvbianhuanjiegou。gexiangzhibiaoyouyuxiangtongdedanjibianhuanqi。
- 討論交叉級聯正激式同步整流拓樸的實現
- 了解功率變換裝置中功率開關晶體管
- 利用交叉級聯正激變換原理
- 采用同步整流技術
1 概述
liyongxiandaidianlidianzijishu,kongzhigonglvbianhuanzhuangzhizhonggonglvkaiguanjingtiguandaotongheguanduandeshijianbilv,shixianshuruheshuchuxingtaizhuanbiandedianlumoshidouchengweikaiguanxingbianhuanqidianlu。DC-DC變換器是開關電源的核心組成部份,常用的正激式和反激式電路拓樸。因為結構簡單、輸入和輸出電氣隔離、shiyongyuanqijianjiaoshaodengyoudian,zaizhongxiaogonglvdianyuanzhongguangfanyingyong。zhengjishibianhuanqiyufanjishixiangbi,bianyaqitongsunjiaodi,fubianwenbodianyahedianliudeshuaijianxianzhu,yinci,gengshiyongzaidiya,dadianliudechanghexiayingyong。changguizheng 激式變換器的功率處理電路隻有一級,存在MOSFET功率開關電壓應力大,特別是當二次側采用自偏置同步整流方式,輸入電壓變化範圍較寬,如輸入電壓為75V時,存在柵極偏置電壓過高,甚至有可能因柵壓太高而損壞同步整流MOSFET的de危wei險xian。而er且qie當dang輸shu出chu電dian流liu較jiao大da時shi,輸shu出chu電dian感gan上shang的de損sun耗hao將jiang大da大da增zeng加jia,嚴yan重zhong地di影ying響xiang了le效xiao率lv的de提ti升sheng。使shi用yong交jiao叉cha級ji聯lian正zheng激ji式shi同tong步bu整zheng流liu變bian換huan電dian路lu,不bu但dan輸shu出chu濾lv波bo電dian感gan線xian圈quan可ke省sheng去qu,實shi現xian高gao效xiao率lv、高可靠DC-DC變換器,達到最佳同步整流效果。
2 基本技術
2.1交叉級聯正激變換原理
交叉 級 聯變換的拓樸如圖1suoshi,qianjiyongyuwenya,houjiyongyugelideliangjijiaochajiliandezhengjibianhuanqizuchengdetongbujiangyabianhuanqi。weileshixiankuanshurudianyafanweijigelijihengdingdedianyashuru,qianhouliangjizhengjibianhuandouyingzaizuijiademubiaoxiagongzuo,congerquebaoyoutasuozuchengdegaoxiaolvtongbujiangyabianhuanqinengjieshouzhengge35-75V通信用輸入電壓範圍,並將它變換為嚴格調整的中間25V總線電壓。實際中 間jian總zong線xian電dian壓ya由you隔ge離li級ji的de需xu要yao預yu置zhi,取qu決jue於yu隔ge離li級ji的de變bian比bi。中zhong間jian電dian壓ya較jiao高gao時shi,可ke以yi采cai用yong較jiao小xiao的de降jiang壓ya電dian感gan值zhi和he較jiao低di的de電dian感gan電dian流liu,因yin而er損sun耗hao也ye少shao。整zheng個ge降jiang壓ya級ji的de占zhan空kong比bi保bao持chi在zai30^''60%,可協助平衡前後兩級正激變換的損耗。為使性能最佳,並使開關損耗降至最小,開關頻率的典型值為240k-300kHz;由於使用低通態電阻(RDS(on))的MOSFET,導通損耗比較小。傳統的單級變換器主開關必需使用至少200V以上的MOSFET,其RDS(on)等參數顯著增加,必然意味著損耗增加,效率下降。交叉級聯正激變換拓撲的簡化原理圖如圖2所示。

眾所 周 知,普通二極管的正向壓降為1V,肖特基二極管的正向壓降為0.5V,采用普通二極管和肖特基二極管作整流元件,大電流情況下,整流元件自身的功耗非常可觀。相比之下,如果采用功率MOSFET作整流元件,則當MOSFET的柵源極施加的驅動電壓超過其閩值電壓,MOSFET即進入導通狀態,無論從漏極到源極或從源極到漏極,均可傳導電流。導通電流在MOSFET上產生的壓降僅與MOSFET的溝道電阻成比例關係,n個MOSFET並聯時,壓降可降為單個MOSFET的1/ n。因此,理論上由整流元件壓降產生的損耗可人為的降到最小。同步整流(SynchronousRectify,縮寫為SR)正是利用MOSFET等有源器件的這種特性進行整流的一項技術。
采用功率MOSFET實施SR的主要損耗為:
導通損耗:

開通損耗:

關斷損耗:

驅動損耗:

式中 I 為 正向電流有效值,RDS(on)為通態電阻,fS為開關頻率,CGSS為輸入電容,Coss為輸出電容,D為占空比。可見 ,正 向導通損耗與RDS(on)成正比。不同VDS的MOSFET, RDS(on)往往可相差幾個數量級,所以相同電路拓撲中采用100V MOSFET的損耗比采用200VMOSFET明顯要低。考慮到低VDS的MOSFET比高VDS MOSFET的Coss要小,據關斷損耗式,表明低VDSMOSFET的(de)關(guan)斷(duan)損(sun)耗(hao)也(ye)小(xiao)。驅(qu)動(dong)損(sun)耗(hao)式(shi)為(wei)開(kai)關(guan)過(guo)程(cheng)中(zhong)輸(shu)入(ru)電(dian)容(rong)充(chong)放(fang)電(dian)引(yin)起(qi)的(de)損(sun)耗(hao),該(gai)損(sun)耗(hao)與(yu)柵(zha)一(yi)源(yuan)驅(qu)動(dong)電(dian)壓(ya)的(de)平(ping)方(fang)成(cheng)正(zheng)比(bi)。由(you)於(yu)采(cai)用(yong)了(le)兩(liang)級(ji)變(bian)換(huan)器(qi),對(dui)隔(ge)離(li)級(ji)來(lai)說(shuo),因(yin)穩(wen)壓(ya)級(ji)己(ji)經(jing)將(jiang)較(jiao)寬(kuan)的(de)輸(shu)入(ru)電(dian)壓(ya)穩(wen)在(zai)固(gu)定(ding)的(de)中(zhong)間(jian)總(zong)線(xian)電(dian)壓(ya)上(shang),變(bian)壓(ya)器(qi)的(de)變(bian)比(bi)可(ke)以(yi)達(da)到(dao)最(zui)佳(jia)。
MOSFET的正向通態電阻RDS(on)yijishurudianrongshigudingde,qudongsunhaozhiyuqudongdianyadepingfangchengzhengbiguanxi。zongzhi,caiyongliangjibianhuanqikeshizhengxiangdaotongsunhao,qudongsunhaodengjiandaozuixiaochengdu。ciwai, 交叉級聯正激變換電路拓撲中,輸出級同步整流MOSFET所需電壓僅為輸出電壓的兩倍,再加上1.2倍的保險係數,器件的耐壓隻是輸出電壓的2.4倍,遠小於傳統單級變換器解決方案需要達到輸出電壓4-10倍的要求。這樣采用交叉級聯正激變換電路拓撲的兩級變換器,便可使用低壓、低RDS(on,的MOSFET來實現極低的輸出級導通損耗。兩級變換器還采用了並聯MOSFET的輸出,得到更低的RDS(on)以及更低的損耗。在係統整體設計的時候,隻要元件熱分布合理,裝置的使用壽命和可靠性必將有極大提高。
[page]
2.3電流前饋技術
由圖 2可ke見jian,交jiao叉cha級ji聯lian正zheng激ji變bian換huan電dian路lu拓tuo撲pu的de二er次ci側ce沒mei有you輸shu出chu濾lv波bo電dian感gan線xian圈quan,單dan級ji式shi變bian換huan器qi則ze必bi須xu有you輸shu出chu濾lv波bo電dian感gan線xian圈quan。單dan級ji變bian換huan器qi設she計ji時shi必bi須xu兼jian顧gu輸shu出chu濾lv波bo電dian感gan中zhong電dian流liu的de斷duan續xu模mo式shi(DCM)和連續模式(CCM),dianganzhidexuandingbudanlilunjisuanfuza,erqiexuyaoshiyanxiaoyan。jiaochajilianzhengjibianhuandianlutuopuzhongdegelijicaiyongdianliuqiankuijishu,shuchulvbodianganbuxuyaoliuguoquanbushuchudianliu。tebieshiduidiyadadianliushuchueryan,shuchujibuhuiyinshuchudianliudezengjiaerfashengnanyiyuliaodebianhua,zheshigaidianlutuopudezhuyaoyoudian。yinci,dangxitongshejixuanbilibianhua,tebieshianshuchudianyajishuchudianliubianhuashiyouyushuchudianliudebianhuazaiyicicegelijideshurudianliuzhongyiyoufanying,yijisuoweidianliuqiankui,zheyanglvbodianganxianquandesunhaodadajiangdi,congeryetigaolebianhuanqidexiaolv。

應用 上 述 設計思路,我們設計了一台用於通信設備的DC -DC半磚電源。具體技術指標如下:輸入 電壓 DC3 5-75V:輸出電壓DC3 .3V/30A;輸出功率100W;效率92% (TYPICA );電壓調整率士0.1%;負載調整率士0.1%;隔離電壓1 500V,,5;保護要求是過壓、過流、過溫等。
圖 3所 示 為采用交叉級聯正激變換電路設計的通信設備專用DC-DC半磚電源原理圖。工作原理如下,R,, R2. D,, Q,, D:和C:組成自舉啟動電路,得到啟動電壓Vc分別給ICI,I C2和IC3供電。電路啟動後,T,的輔助繞組經D3整流,C3平滑濾波後為IC提供電壓VD,因VD電壓高於Vc,二極管D2反偏,Q、的供電關閉,達到啟動電路無功耗的目的。IC:的腳6輸出方波信號,一路直接送到ICl的腳5,另一路經Q2倒相後送到IC:的腳6作為IC,的輸入信號。IC,的腳3和腳8輸出相位相差180“的方波脈衝信號,分別驅動MOSFETQ 31 Q 4- Q3" Q 4" L 2等組成高效率的同步降壓級,降壓級的占空比保持在30-60%. IC3.Qs"Q6"T.等組成交叉級聯正激式隔離級,達到DC-DC最終的輸出電壓。馬、DS為變壓器T,的de磁ci複fu位wei繞rao組zu。由you於yu降jiang壓ya級ji已yi將jiang變bian化hua範fan圍wei較jiao寬kuan的de輸shu入ru電dian壓ya嚴yan密mi調tiao整zheng為wei中zhong間jian總zong線xian電dian壓ya,因yin此ci隔ge離li級ji不bu需xu調tiao壓ya。交jiao叉cha級ji聯lian正zheng激ji變bian換huan器qi都dou工gong作zuo在zai50%的占空比,可以采用VDS為100V的MOSFET. Q7, Q:等組成自偏置式同步整流電路,因隔離級的輸出電壓是固定的,所以同步整流MOSFET漏極的輸入電壓也是固定的,占空比也為50%,可以使用VDS很低的MOSFET(本例中采用的是VDS為12V的MOSFET,損耗最低)因yin功gong耗hao引yin起qi的de發fa熱re問wen題ti均jun可ke以yi方fang便bian解jie決jue。因yin輸shu入ru電dian壓ya固gu定ding,多duo出chu電dian壓ya時shi,能neng夠gou方fang便bian地di實shi現xian高gao電dian壓ya調tiao整zheng率lv和he高gao負fu載zai調tiao整zheng率lv,單dan級ji變bian換huan器qi很hen難nan做zuo到dao此ci點dian。其qi他ta電dian路lu功gong能neng(如過流、過壓、過溫度保護等)不再一一闡述。經測量該電路的工作效率約在92%左右,達到預定的設計要求,並且調試較簡單,為今後的批量生產奠定了基礎。
4 結束語
交叉 級 聯lian正zheng激ji式shi變bian換huan器qi,電dian路lu組zu成cheng稍shao微wei複fu雜za,但dan能neng平ping坦tan分fen配pei各ge級ji損sun耗hao達da到dao整zheng體ti功gong耗hao最zui小xiao,從cong而er可ke在zai更geng高gao的de環huan境jing溫wen度du下xia工gong作zuo。較jiao低di的de功gong耗hao,意yi味wei著zhe更geng高gao的de效xiao率lv;gongzuohuanjingwendugao,yiweizhesanrechulinengliqiangheshuchudianliuda。erkeyongshuchudianliuchengbendejiangdi,yushizhexitongchangqikekaoxinghuigenghao。womendeshijianbiaomingjiaochajilianzhengjishitongbuzhengliutuopuqueshishiyizhongfeichangyouqianjingdegonglvbianhuanjiegou。gexiangzhibiaoyouyuxiangtongdedanjibianhuanqi。
特別推薦
- 噪聲中提取真值!瑞盟科技推出MSA2240電流檢測芯片賦能多元高端測量場景
- 10MHz高頻運行!氮矽科技發布集成驅動GaN芯片,助力電源能效再攀新高
- 失真度僅0.002%!力芯微推出超低內阻、超低失真4PST模擬開關
- 一“芯”雙電!聖邦微電子發布雙輸出電源芯片,簡化AFE與音頻設計
- 一機適配萬端:金升陽推出1200W可編程電源,賦能高端裝備製造
技術文章更多>>
- 2026藍牙亞洲大會暨展覽在深啟幕
- 新市場與新場景推動嵌入式係統研發走向統一開發平台
- 維智捷發布中國願景
- 2秒啟動係統 • 資源受限下HMI最優解,米爾RK3506開發板× LVGL Demo演示
- H橋降壓-升壓電路中的交替控製與帶寬優化
技術白皮書下載更多>>
- 車規與基於V2X的車輛協同主動避撞技術展望
- 數字隔離助力新能源汽車安全隔離的新挑戰
- 汽車模塊拋負載的解決方案
- 車用連接器的安全創新應用
- Melexis Actuators Business Unit
- Position / Current Sensors - Triaxis Hall
熱門搜索
Tektronix
Thunderbolt
TI
TOREX
TTI
TVS
UPS電源
USB3.0
USB 3.0主控芯片
USB傳輸速度
usb存儲器
USB連接器
VGA連接器
Vishay
WCDMA功放
WCDMA基帶
Wi-Fi
Wi-Fi芯片
window8
WPG
XILINX
Zigbee
ZigBee Pro
安規電容
按鈕開關
白色家電
保護器件
保險絲管
北鬥定位
北高智

