基於LLC的半橋零電壓開關諧振變換器
發布時間:2008-10-30 來源:電子技術應用
中心論題:
- LLC三元件諧振網絡
- 零電壓半橋諧振控製器——TEA1610
- 用TEA1610構建LLC諧振變換器
解決方案:
- LLC三元件諧振網絡全負載範圍內都具有較高的轉換效率,而且頻率變化範圍比較窄
- 用TEA1610構建LLC諧振變換器
近代電子設備的發展,對開關電源提出了諸如高頻、小型化、低噪聲以及高功率密度等方麵的要求。諧振型開關電源由於不存在硬開關而具有效率高、EMI小等特點,逐漸成為人們的研究熱點。於是,準諧振、諧振開關、quanxiezhendengjiegouyingshiersheng。zaizhenduijianshaokaiguansunhaohejiangdizaoshengcaiqudegezhongfangfazhong,fuzaicanyuxiezhendequanxiezhenjiegoushijinshinianlaideyanjiuredian。benwenzaifenxiLLC諧振特性的基礎上,用Philips公司的TEA1610構建一種基於半橋的LLC負載諧振變換器。
LLC三元件諧振網絡
用兩個元件組成的諧振拓樸結構主要有兩種:並聯結構和串聯結構,分別如圖1(a)和圖1(b)所示。串聯諧振在輕負載時具有較高的效率,而在滿負載時轉換效率比較低;並(bing)聯(lian)諧(xie)振(zhen)則(ze)反(fan)之(zhi),在(zai)滿(man)負(fu)載(zai)時(shi)具(ju)有(you)較(jiao)高(gao)的(de)轉(zhuan)換(huan)效(xiao)率(lv),而(er)在(zai)輕(qing)負(fu)載(zai)時(shi)轉(zhuan)換(huan)效(xiao)率(lv)比(bi)較(jiao)低(di)。而(er)且(qie)串(chuan)聯(lian)諧(xie)振(zhen)和(he)並(bing)聯(lian)諧(xie)振(zhen)都(dou)要(yao)求(qiu)較(jiao)寬(kuan)的(de)頻(pin)率(lv)範(fan)圍(wei)。因(yin)此(ci),這(zhe)種(zhong)二(er)元(yuan)的(de)諧(xie)振(zhen)網(wang)絡(luo)在(zai)實(shi)際(ji)應(ying)用(yong)中(zhong)都(dou)有(you)一(yi)定(ding)的(de)限(xian)製(zhi)。
在(zai)二(er)元(yuan)件(jian)諧(xie)振(zhen)網(wang)絡(luo)的(de)基(ji)礎(chu)上(shang),根(gen)據(ju)不(bu)同(tong)的(de)應(ying)用(yong)可(ke)構(gou)建(jian)不(bu)同(tong)種(zhong)類(lei)的(de)三(san)元(yuan)件(jian)的(de)諧(xie)振(zhen)網(wang)絡(luo)。三(san)元(yuan)件(jian)諧(xie)振(zhen)網(wang)絡(luo)與(yu)二(er)元(yuan)件(jian)諧(xie)振(zhen)網(wang)絡(luo)相(xiang)比(bi)有(you)很(hen)多(duo)優(you)點(dian),比(bi)如(ru)在(zai)全(quan)負(fu)載(zai)範(fan)圍(wei)內(nei)都(dou)具(ju)有(you)較(jiao)高(gao)的(de)轉(zhuan)換(huan)效(xiao)率(lv),而(er)且(qie)頻(pin)率(lv)變(bian)化(hua)範(fan)圍(wei)比(bi)較(jiao)窄(zhai)等(deng)。本(ben)文(wen)主(zhu)要(yao)介(jie)紹(shao)和(he)分(fen)析(xi)由(you)三(san)元(yuan)件(jian)LLC構成的諧振網絡,其結構如圖2(a)所示。


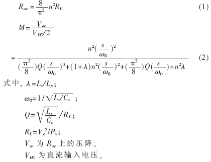
串聯電感Ls、並聯電感Lp和諧振電容Cs組成LLC諧振網絡,在此必須注意到負載也參與了諧振。對其進行建模,LLC簡化模型如圖2(b)所示,Ra c為副邊的負載折算到原邊的等效負載,折算公式見式(1)。因(yin)為(wei)原(yuan)邊(bian)輸(shu)入(ru)電(dian)壓(ya)為(wei)方(fang)波(bo),電(dian)流(liu)為(wei)近(jin)似(si)正(zheng)弦(xian)波(bo),而(er)變(bian)壓(ya)器(qi)輸(shu)出(chu)電(dian)壓(ya)也(ye)是(shi)方(fang)波(bo),電(dian)流(liu)也(ye)是(shi)正(zheng)弦(xian)波(bo),因(yin)此(ci)可(ke)以(yi)推(tui)導(dao)出(chu)其(qi)電(dian)壓(ya)傳(chuan)遞(di)函(han)數(shu),如(ru)式(shi)(2)所示。

利用Matlab對該模型進行仿真,采用基波進行近似分析,可以初步分析出其工作特性,如圖3所示。

從圖3中可以看到,在整個頻率範圍內,既有降壓的工作區域(M<1),也有升壓的工作區域(M>1),因此LLC諧振有著較為廣闊的應用範圍。在輕負載時,工作頻率逐漸升高,工作在降壓區域內;而在重負載時,工作頻率逐漸降低,工作在升壓區域內。眾所周知,串聯諧振的工作區域是Fs/Fo>1,才能工作在ZVS的狀態下。從圖3中可以看到,在不同負載(即Q不同)下,為獲得ZVS的工作條件,隻要使之工作在虛線的右側即可。而LLC諧振不僅僅局限於Fs/Fo>1區域,在某些負載下可以工作在Fs/Fo<1區域,同樣可以獲得零電壓轉換的工作狀況。並且與串聯諧振相比,在不同負載時的頻率變化範圍更小。因此,LLC諧振網絡有著其自身獨特的優點。
通過上麵的分析知道,LLC諧振網絡需要兩個磁性元件Ls和Lp。然而,在實際應用中,考慮到高頻變壓器實際結構,可以把磁性元件Ls和Lp集成在一個變壓器內,利用變壓器的漏感作為Ls,利用變壓器的磁化電感作為Lp。zheyangyilai,keyidadajianshaocixingyuanjianshumu。zaishejishi,zhiyaozhongdianshejibianyaqidelouganyubianyaqicihuadianganjike。yinci,weizengjialougan,xuyaozaibianyaqizhongjiarushidangdeqixi,bingqiekongzhibianyaqiyuanfubianderaoxianfangshi,rutu4所示。因為變壓器的原邊繞組與副邊繞組是完全分離的,因此無須使用隔離膠帶,這樣有助於形體的小型化。

零電壓半橋諧振控製器——TEA1610
TEA1610是Philips公司推出的零電壓全諧振半橋控製器,是采用高壓DMOS工藝的芯片,高側開關管的驅動耐壓最大可達600V,最大的振蕩頻率達1MHz。其內部結構如圖5所示。

TEA1610內部具有電平抬升電路,可以直接驅動上橋開關管;具有一個電流控製的振蕩器,用來產生精確的振蕩頻率;為精確保證50%占空比,振蕩信號是在經過觸發器後送到開關管的驅動極;內部具有死區補償電路,通過外部電路可以控製死區時間;它還有一個關斷管腳SD,當該管腳上的電壓超過2.33V時,TEA1610進入關機模式,切斷開關信號。此時,隻能使VDD的電平低於5.3V才能重新啟動。因此,可以利用該管腳添加一些保護電路。
為消除在啟動瞬間的尖鋒電流,TEA1610還具有軟啟動功能。在啟動時,VCO輸出一個固定電平2.5V,利用該固定電平可以抬高起始振蕩頻率,從而避免啟動瞬間的過電流。
用TEA1610構建LLC諧振變換器
LLC諧振變換器原理圖如圖6所示。根據第二節中介紹的方法製作變壓器,采用原副邊分開繞製的方法增加漏感,利用該漏感作為諧振電感,控製漏感為68μH,原邊電感量為320μH。圖中Cr為諧振電容,一般選用聚丙烯類電容,在該電路中選用47nF/1kV。C13和C17為實現開關管零電壓關斷的吸收電容,在此選用470pF/1kV。C18為振蕩電容,需要根據所設定的頻率進行調整,在此選用220pF。電阻R11為死區調整電阻,而R16為設定最小工作頻率的電阻。R14為設定啟動頻率的電阻,並且可以在該電阻上並聯一個100nF的電容來實現軟啟動。因為TEA1610內部具有一個電平抬升電路,所以隻需要外接一個小電容就可以實現直接驅動開關管Q1。在完成高壓啟動後,輔助繞組接管TEA1610的VDD,並且利用輔助繞組和TEA1610的SD管腳實現過壓檢測及其它保護。

實驗結果
用TEA1610構建的一個LLC諧振變換器,輸出+/-26V,總功率為200W。由無負載狀態起至額定負載止的頻率控製範圍介於80kHz~150kHz之間,圖7(a)顯示了在空載150kHz時的電流三角波波形。副邊采用肖特基二極管作為整流二極管時,在滿負載的狀況下,其效率可以達到90%以上,在半載情況下效率達到88%。這是因為在該變換器中,不存在開關損耗,隻有導通損耗,如圖7(b)所示。在開關管開通時,電流流過其體二極管,此時開關管上的壓降隻有1V左右,基本上是零電壓開通;zaikaiguanguanguanduanshi,tongguokaiguanguanshangbinglianyigedianronglaishixianlingdianyaguanduan。cishi,daotongsunhaohefubianzhengliuerjiguanchengweiyingxiangqixiaolvdezhuyaoyinsu,dangshurudianyajiaodihuoshurudianliujiaodashi,youyuzhukaiguanguanneisuodaotongdedianliuzengduo,huidaozhiqixiaolvdejiangdi。youyubianyaqideyiciceheercicezhijianyouraoxianzhoujiayuyigekai,suoyibianyaqidexieloucitongbijiaoduo,dianxianrongyishouxieloucitongjilinjinxiaoyingdeyingxiangerfare,zhishixiaolvjiangdi,yinciyuanbianderaozuyingcaiyongjiaoxixianjingweihao。

圖7(c)和圖7(d)是在200W負載時原邊電壓和電流波形。從圖中可以看到原邊電流波形幾乎是正弦波,副邊電流同樣是正弦波。由於在開關管內不存在硬開關,其dV/dt和dI/dt都比較小。因此,該變換器的EMI得到了很大的改善。
另外,一般的高頻變壓器要求一次側和二次側具有較好的耦合。這樣,一次側和二次側間的寄生電容介於50~100pF之間。而LLC諧振變壓器則采用一次側和二次側完全分開的方式,變壓器的寄生電容甚小,一般小於10pF。因此其傳導幹擾會更小。
本文分析了LLC諧振網絡的工作特性並闡述了LLC諧振網絡變換器的變壓器的設計方法,同時簡單介紹了Philips公司的諧振控製器TEA1610。最後用TEA1610構建了一個200W半橋諧振變換器。實驗結果表明,采用基於LLC諧振網絡的半橋變換器具有EMI小、效率高等優點,與PWM控製變換器相比有著其獨特的應用領域。
- 噪聲中提取真值!瑞盟科技推出MSA2240電流檢測芯片賦能多元高端測量場景
- 10MHz高頻運行!氮矽科技發布集成驅動GaN芯片,助力電源能效再攀新高
- 失真度僅0.002%!力芯微推出超低內阻、超低失真4PST模擬開關
- 一“芯”雙電!聖邦微電子發布雙輸出電源芯片,簡化AFE與音頻設計
- 一機適配萬端:金升陽推出1200W可編程電源,賦能高端裝備製造
- 邊緣AI的發展為更智能、更可持續的技術鋪平道路
- 每台智能體PC,都是AI時代的新入口
- IAR作為Qt Group獨立BU攜兩項重磅汽車電子應用開發方案首秀北京車展
- 構建具有網絡彈性的嵌入式係統:來自行業領袖的洞見
- 數字化的線性穩壓器
- 車規與基於V2X的車輛協同主動避撞技術展望
- 數字隔離助力新能源汽車安全隔離的新挑戰
- 汽車模塊拋負載的解決方案
- 車用連接器的安全創新應用
- Melexis Actuators Business Unit
- Position / Current Sensors - Triaxis Hall



