基於HSI模型的全彩LED驅動電路設計方案
發布時間:2011-08-02
中心議題:
- 基於HSI模型的全彩LED驅動電路的設計方案
- LED驅動電路硬件和軟件設計及仿真
- HSI模型
解決方案:
- PWM控製恒流源驅動
- 基於HSI模型驅動設計
為了改善led模組的照明質量,實現對LED模組色溫的調節,通過分析LED模組的驅動電路技術,提出一種基於HSI模型的全彩LED驅動電路的設計方案。該驅動電路利用三色比例調節達到所需要的顏色,並采用PID調節方式,以保證調節的穩定。另外還可以調節輸出光的色溫和光強,達到了良好的照明效果。
1 總體設計
圖1為HIS模型下全彩LED驅動電路的總體設計。硬件部分采用恒流驅動芯片PT4115,采用總一分的方式進行RGB驅動,通過采樣電路獲取R,G,B三路電流信號反饋,用來調節R,G,B的比例。軟件采用STC係列單片機作為主調節模塊,通過獲取A/D轉換調節三色顏色比例,采用PID調節方式,以保證調節的穩定。

2 LED驅動電路硬件設計
2.1 恒流驅動原理
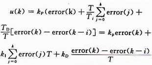
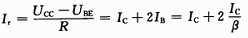
如圖2所示,這裏由兩隻特性相同的管子VT0和VT1構成,兩管的發射極分別接入電阻Re0和Re1。電阻R中的電流為基準電流,其表達式為:
![]()
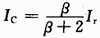
所以集電極電流為:
![]()
由於這裏通過改變Ic1和Ir的關係,使工Ic1和Ir呈比例關係,從而克服鏡像恒流源電路的缺點。理論推導證明:
![]()
可見,隻要改變Re0和Re1的阻值,就可以改變Ic1和Ir的比例關係,其基準電流Ir為:
![]()
通過Re0和Re1電流負反饋電阻,從而使恒流源的輸出電流Ic1具有更高的穩定性。

[page]
2.2 PWM控製恒流源驅動
PWM調節是指通過一個周期內脈寬占空比的形式來驅動LED的方式,LED的平均驅動電流取決於脈衝波形的占空比和LED額定驅動電流,在驅動電流固定時,通過改變PWM占空比可以調節驅動電流大小。為了避免閃爍,故PWM調節的頻率選擇在500 Hz左右。如圖3所示。

這裏采用LED驅動芯片PT4115。PT4115是一款連續電感電流導通模式的降壓恒流源IC,能將直流電壓直接轉換成穩定的恒流輸出。
圖4為在PWM調光模式下外加PWM脈衝驅動信號和輸出驅動電流的測量結果。PWM占空比從0~100%。從圖中可以清楚的看到,通過改變不同的PWM占空比可以調節額定電流,PT4115最大能夠輸出1.2 A的電流。

輸出的額定電流由以下公式得到:

式中:D為PWM的占空比。
3 HSI模型
3.1 HIS模型的轉換
RGB模型麵向電路,而HSI模型與人的顏色感知一一對應,所以需要通過RGB模型完成到HSI模型的轉換:

式中:H分量表示色調;S代表飽和度;I代表亮度。
[page]
3. 2 基於HSI模型驅動設計方案
主要通過HSI模型控製RGB模型,如圖5所示,通過I分量作為總線控製,再又驅動電路設定顏色,並讓R,G,B三種分量經過加法器之後進行自穩定,傳感器獲取光線亮度條件,並轉換為S分量用來處理。以下是具體的模塊實現:通過向HCS12單片機中設置環境亮度以及色溫,控製4線共陰的全彩LED,通過采樣電阻反饋RGBsanzhongyansequdongdianluzhongdedianliuxinhao,congertongguotiaojiesansebilidadaotiaojiesewendemude。zaitongguoguangliangduchuanganqixiangdanpianjifankuishuju,zhijietiaojiezongxianqudongdianluxiandingedingzuidadianliu,congerkongzhiquancaiLED燈光的亮度。當調節為白色燈光時,隻需固定好三色比例為1:1:1,從而直接調節總線驅動電路就可調節LED的光亮度。這裏需要對每路驅動電路分別使用PT4115作為驅動電路。
4 軟件設計及仿真
這裏穩定色溫采用離散PID調節的方式:

首先進行參數的設定,A/D轉換之後通過加法器獲取H分量,H分量代表色溫,通過PID調節穩定色溫達到在調節LED亮度之後,顏色不變。通過調節P,I,D三個參數,讓光亮度的變化可以盡量地適應人眼對於光的感受。PID調節與仿真見圖6。

5 結語
本文討論了LED恒流源PWM調節,介紹了PWM調節的電路,並提出了一種基於HSI模型的驅動控製電路,通過HSI模型控製RGB模mo型xing,並bing且qie可ke以yi通tong過guo三san色se驅qu動dong電dian路lu比bi例li調tiao節jie達da到dao所suo需xu要yao的de顏yan色se。該gai電dian路lu可ke以yi克ke服fu調tiao節jie亮liang度du的de時shi候hou會hui產chan生sheng色se差cha,亮liang度du不bu好hao調tiao節jie的de問wen題ti,根gen據ju個ge人ren喜xi好hao調tiao節jieLED燈具的光強和色溫,通過直接調節總線驅動電路限定額定最大電流,從而控製全彩LED燈光的亮度,從而使此驅動電路達到了良好的照明效果。
- 噪聲中提取真值!瑞盟科技推出MSA2240電流檢測芯片賦能多元高端測量場景
- 10MHz高頻運行!氮矽科技發布集成驅動GaN芯片,助力電源能效再攀新高
- 失真度僅0.002%!力芯微推出超低內阻、超低失真4PST模擬開關
- 一“芯”雙電!聖邦微電子發布雙輸出電源芯片,簡化AFE與音頻設計
- 一機適配萬端:金升陽推出1200W可編程電源,賦能高端裝備製造
- 2026藍牙亞洲大會暨展覽在深啟幕
- 新市場與新場景推動嵌入式係統研發走向統一開發平台
- 維智捷發布中國願景
- 2秒啟動係統 • 資源受限下HMI最優解,米爾RK3506開發板× LVGL Demo演示
- H橋降壓-升壓電路中的交替控製與帶寬優化
- 車規與基於V2X的車輛協同主動避撞技術展望
- 數字隔離助力新能源汽車安全隔離的新挑戰
- 汽車模塊拋負載的解決方案
- 車用連接器的安全創新應用
- Melexis Actuators Business Unit
- Position / Current Sensors - Triaxis Hall

