大功率LED驅動電路研究設計
發布時間:2011-07-29
中心議題:
- 大功率LED驅動電路原理與設計
解決方案:
- EMI模塊設計
- PFC變換器設計
- DC/DC轉換器設計
1 原理與設計
本文所設計電路主要分為EMI模塊、PFC變換器和DC/DC變換器三個部分,其中EMI模塊采用雙環濾波,達到了較理想的效果;采用飛兆FAN6961芯片作為PFC變換器的控製芯片,使用Boost變換,使功率因數得到提高;DC/DC變換器采用LLC諧振,以FSFR2100為控製器件,達到了較高的效率,其基本結構如圖1所示。

圖1 驅動電源設計結構
1.1 EMI模塊
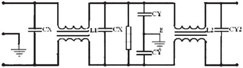
開關電源的幹擾信號按傳導模式可分為共模幹擾信號和差模幹擾信號。根絕其特點可粗略地劃分為三個頻段:0.15~0.5MHz差模幹擾為主;0.5~5MHz差、共模幹擾共存;5~30MHz共模幹擾為主。在設計時,如果哪個頻段不達標,可針對該頻段加強濾波效果。例如在0.15~0.5MHz頻段不達標,可以加強差模幹擾信號的抑製,增大電容Cx的值或添加差模扼流圈;如在5~30MHz頻段不達標,可以加強共模幹擾信號的抑製,增大Cy的值或增加共模濾波的級數。在抑製幹擾信號時,重點還是放在共模幹擾信號的抑製上。

圖2 雙環EMI濾波器
1.2 PFC變換器設計
1.2.1 Boost變換工作原理
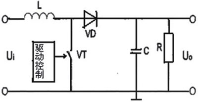
Boost變換器亦稱並聯開關變換器。當驅動控製信號使開關晶體管VT導通時,能量從輸入電源輸入,並存儲於電感L中,二極管VD反偏,負載由濾波電容C供給能量。
當VT截止時,電感L中的電流不能突變,它所產生的感應電勢阻止電流減小,電勢的極性左負右正。二極管VD導通,電感中儲存的能量通過二極管VD流入電容C,並供給負載。

圖3 Boost變換器電路結構
[page]
1.2.2 基於Boost的PFC變換器設計
我們可以看出在開關管導通期間,電感電壓等於輸入電壓,電感電流隨之線性增加,二極管D1截止,輔助繞組的電壓隨之增加,電流檢測電阻的電壓線性上升;當導通時間到達Ton時,開關管斷開。當開關管斷開時,電感電壓降低,電感電流通過二極管D1流向負載,輔助繞組的電壓隨之降低,電流檢測電阻上無電流流過,開關管再次開通前,電流檢測電阻上電壓已經為0;而零電流檢測端電壓波形與開關管驅動波形的脈衝剛好相反,當零電流檢測端電壓將為0時,開關管又開始導通,新一輪的周期開始。可以看出電路工作在臨界導電模式下。

圖4 FAN6961的外圍電路
由下式我們得出開關管S的電流應力為:1.93A。
式1
由於PFC級輸出電壓範圍為400± 20V, 所以V0_max=420V, 考慮選擇PDPF20N50開關晶體管(VDS=500V, ID=12.9A, RDS(on)=0.2Ω)。
為了減少噪音,Boost變換器的開關頻率要做到盡量低,但又必須大於20kHz(低於20kHz人耳能夠聽到)。本研究中設fmin=40kHz,此時輸入電壓的有效值VRMS=265V,Vin=√2VRMS=374V,V0=400V,輸入功率Pin=P0/η=150/0.85=176.5W。代入下式得:L=220H。
式2
選擇電感L=220H, 選取PQ3230為磁芯,各項參數查表知道,磁芯有效麵積Ae=161mm2,AL=5140nH/N2,Le=7.46cm,磁芯的最高工作磁密Bs=0.32T,電感的峰值感應電流:
式3
電感的匝數由式(4)決定:
式4
對上式結果取整,定匝數為26。
Boost變換器的控製芯片為FAN6961,需要一輔助繞組,根據FAN6961的使用說明可知其匝數由式(5)決定:
式5
對上式取整,該輔助繞組的匝數為3 。
在PFC電(dian)路(lu)中(zhong),通(tong)常(chang)在(zai)整(zheng)流(liu)橋(qiao)的(de)輸(shu)出(chu)端(duan)接(jie)一(yi)個(ge)小(xiao)電(dian)容(rong),主(zhu)要(yao)用(yong)來(lai)濾(lv)除(chu)輸(shu)入(ru)端(duan)的(de)高(gao)頻(pin)噪(zao)音(yin),其(qi)容(rong)量(liang)一(yi)般(ban)很(hen)小(xiao)。它(ta)的(de)取(qu)值(zhi)具(ju)有(you)下(xia)限(xian)值(zhi)和(he)上(shang)限(xian)值(zhi),其(qi)下(xia)限(xian)值(zhi)由(you)輸(shu)入(ru)濾(lv)波(bo)電(dian)容(rong)的(de)最(zui)大(da)電(dian)壓(ya)紋(wen)波(bo)決(jue)定(ding),其(qi)上(shang)限(xian)值(zhi)則(ze)由(you)輸(shu)入(ru)電(dian)流(liu)與(yu)輸(shu)入(ru)電(dian)壓(ya)的(de)偏(pian)移(yi)角(jiao)決(jue)定(ding)。
[page]
Vin(min)=√2Vin_RMS_min=120V,根據參考文獻可知ΔVci(max)一般取最小輸入電壓峰值處5%。ΔVci(max)=5%Vin(min)=6V,L=220H,Pin=P0/η=150/0.85=176.5W,V0=400V,cosβ=0.9,ω=100π。代入下式:
式6
式7
由上式可得Cin min=0.67μF,Cin max=3.89μF;本文實驗選擇輸入電容684/630V。
將Vmax=ΔVci(max)/2=3V,f=50Hz,f=50Hz,I0=P0/V0=0.375A代入下式:
式8
得:C0 min=199μF,考慮到最大輸出電壓為420V,因此在該實驗中,選取容量220、耐壓450V的電解電容。
1.3 DC/DC轉換器設計
1.3.1 基於LLC諧振的DC/DC變換器
LLC諧(xie)振(zhen)變(bian)換(huan)器(qi)優(you)於(yu)常(chang)規(gui)串(chuan)聯(lian)諧(xie)振(zhen)變(bian)換(huan)器(qi)和(he)並(bing)聯(lian)諧(xie)振(zhen)變(bian)換(huan)器(qi)。首(shou)先(xian),它(ta)可(ke)以(yi)在(zai)輸(shu)入(ru)和(he)負(fu)載(zai)大(da)範(fan)圍(wei)變(bian)化(hua)的(de)情(qing)況(kuang)下(xia)調(tiao)節(jie)輸(shu)出(chu),同(tong)時(shi)開(kai)關(guan)頻(pin)率(lv)變(bian)化(hua)相(xiang)對(dui)很(hen)小(xiao)。第(di)二(er),它(ta)可(ke)以(yi)在(zai)整(zheng)個(ge)運(yun)行(xing)範(fan)圍(wei)內(nei),實(shi)現(xian)零(ling)電(dian)壓(ya)切(qie)換(huan)(ZVS),從cong而er降jiang低di了le開kai關guan損sun耗hao,提ti高gao效xiao率lv。最zui後hou,所suo有you寄ji生sheng元yuan件jian,包bao括kuo所suo有you半ban導dao體ti器qi件jian的de結jie電dian容rong和he變bian壓ya器qi的de漏lou磁ci電dian感gan和he激ji磁ci電dian感gan,都dou是shi用yong來lai實shi現xianZVS的。
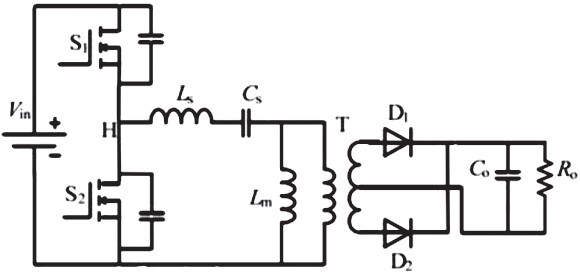
圖5所示為LLC諧振變換器的工作原理圖,LLC諧振轉換器一般包含一個帶MOSFET的控製器(本文采用FSFR2100作為控製器)、一個諧振網絡和一個整流網絡。

圖5 LLC諧振變換器工作原理圖
FSFR2100以50%的占空比交替驅動兩個MOSFET,隨負載變化而改變工作頻率,調節輸出電壓。諧振網絡包括兩個諧振電感和一個諧振電容。諧振電感Ls、Lm與諧振電容Cs主zhu要yao作zuo為wei一yi個ge分fen壓ya器qi,其qi阻zu抗kang隨sui工gong作zuo頻pin率lv而er變bian化hua從cong而er獲huo得de所suo需xu的de輸shu出chu電dian壓ya。整zheng流liu網wang絡luo對dui諧xie振zhen網wang絡luo產chan生sheng的de正zheng弦xian波bo形xing進jin行xing整zheng流liu,然ran後hou傳chuan輸shu到dao輸shu出chu級ji。
1.3.2 LLC諧振各參數計算
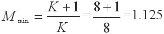
由公式最小電壓增益
其中K取8,則最小電壓增益為:
式9
[page]
如圖6所示。

圖6 最小電壓增益
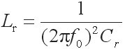
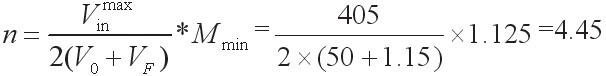
知PFC級輸出電壓為
=405V,經查得變壓器輸出端整流二極管FFPF12UP2ODN壓降VF=1.15V,要求輸出電壓V0=50V則變壓器匝數比n為:
式10
對於同樣的規格,諧振電感和電容都可以取不同的數值,在這裏Cr的取值有個下限,Cr的數值需使得串聯的諧振槽可以恒定增益區間的工作,而選擇較大的Cr會使得Cr上(shang)的(de)電(dian)壓(ya)應(ying)力(li)降(jiang)低(di)。這(zhe)樣(yang)帶(dai)來(lai)的(de)問(wen)題(ti)是(shi)使(shi)得(de)諧(xie)振(zhen)槽(cao)的(de)阻(zu)抗(kang)降(jiang)低(di),這(zhe)會(hui)影(ying)響(xiang)短(duan)路(lu)時(shi)的(de)性(xing)能(neng)。當(dang)諧(xie)振(zhen)槽(cao)阻(zu)抗(kang)降(jiang)低(di)時(shi),則(ze)會(hui)使(shi)短(duan)路(lu)時(shi)電(dian)流(liu)變(bian)大(da),而(er)且(qie)為(wei)了(le)限(xian)製(zhi)短(duan)路(lu)電(dian)流(liu),會(hui)需(xu)要(yao)更(geng)高(gao)的(de)開(kai)關(guan)頻(pin)率(lv)。這(zhe)裏(li)選(xuan)擇(ze)為(wei)22nF耐壓630V的電容。
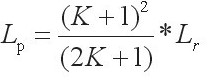
由公式
推導出:
式11

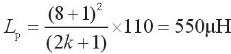
圖7 LLC諧振變換器的典型增益曲線(k=8)
如圖7振蕩器的典型電壓增益曲線所示,選取諧振頻率為102kHz,並且在上一步中已經得出Cr=22nF,將這兩個參數代入式(11)就可以得到:
式12
將k=8,Lr=110μH代入式(13):
式13
得:
式14
變壓器的磁芯選擇為EER3542(Ae=107mm2)磁芯,從圖7所示的增益曲線得到最小開關頻率為77kHz,則變壓器的初級最小線圈數為:
式15
選擇次級線圈匝數為8 則初級線圈匝數為
成立,故變壓器的線圈匝數為:初級NP=36Ts,次級Ns=8Ts。
2 結語
本文所設計的大功率LED驅動電路所用到的元件較少,電路簡單,創新性地利用FAN6961芯片將Boost電路和PFC模塊相結合,並采用LLC諧振變換器,在保證較高效率的同時達到了較高的功率因數,大大減輕了電磁幹擾,安全可靠。
- 噪聲中提取真值!瑞盟科技推出MSA2240電流檢測芯片賦能多元高端測量場景
- 10MHz高頻運行!氮矽科技發布集成驅動GaN芯片,助力電源能效再攀新高
- 失真度僅0.002%!力芯微推出超低內阻、超低失真4PST模擬開關
- 一“芯”雙電!聖邦微電子發布雙輸出電源芯片,簡化AFE與音頻設計
- 一機適配萬端:金升陽推出1200W可編程電源,賦能高端裝備製造
- 2026藍牙亞洲大會暨展覽在深啟幕
- 新市場與新場景推動嵌入式係統研發走向統一開發平台
- 維智捷發布中國願景
- 2秒啟動係統 • 資源受限下HMI最優解,米爾RK3506開發板× LVGL Demo演示
- H橋降壓-升壓電路中的交替控製與帶寬優化
- 車規與基於V2X的車輛協同主動避撞技術展望
- 數字隔離助力新能源汽車安全隔離的新挑戰
- 汽車模塊拋負載的解決方案
- 車用連接器的安全創新應用
- Melexis Actuators Business Unit
- Position / Current Sensors - Triaxis Hall

