新型EMC寬帶TEM喇叭天線設計
發布時間:2016-08-02 來源:徐超龍、李娜 責任編輯:wenwei
【導讀】本文提出了一種結構新穎的寬帶TEM喇叭天線,滿足電磁兼容(EMC)celiangshebeiduikuanpindaitianxiandexuqiu。tianxianfushejiegoucaiyongleshangxiaduichengdeshuangzhishujianbianfuhejiegoudejinshuban,shidetianxiandexiezhenmoshidadazengjia,congertuozhandaikuantianxian,ranhoutongguobalunjiegouyutongzhouxianpipeikuidian,jiangdishuruduanbupinghengkuidianzaochengdeqiangfanshe。juyoukuandaihelianghaodefushexingneng,zaiEMC測量具有廣泛的應用前景。
經過結構尺寸的仿真優化,天線尺寸為0.356λ×0.15λ×0.2λ(λ為最低工作頻率對應波長)。在0.3GHz-10GHz頻率範圍內,天線的電壓駐波比基本低於2,具有超過30個倍頻程的良好的寬帶特性。並且在工作頻率範圍內,天線輻射方向圖穩定,增益高。
一、引言
電磁兼容(EMC)作為電氣科學的分支,是主要研究係統發射、傳播和接收過程中的出現的電磁幹擾能量並且分析和解決這些能量可能產生的不良影響的一門學科。EMC的研究是現代電子科技發展的必要條件。在EMC工程應用中,測試頻率範圍需求越來越寬,因此EMC測試對天線的寬帶性能期望也越來越高[1]。符合寬帶性能要求的天線結構通常為:喇叭天線,對數周期天線,雙錐天線等。
喇叭天線由於其結構簡單,具有高增益和寬帶特性而廣泛應用於EMC測量天線。其中TEM喇叭天線因為具有更簡單的結構,更易於激勵而得到了廣泛的重視[2,3]。對於TEM喇叭天線的研究,一直以來都收到人們關注。M.Kanda通過研究阻抗加載對TEM喇叭天線的影響,使得天線帶寬得以通過阻抗加載展寬[4]。A. S. Turk等人通過在天線加載介質以及采用形狀獨特的金屬平板來提高TEM喇叭天線的帶寬[5]。本文提出了一種輻射部分為對稱雙漸變複合結構金屬板的寬帶TEM喇叭天線,並且通過CST建模和仿真優化,最終設計出具有良好寬帶特性和高增益性能的天線。
二、天線設計
A. TEM喇叭天線工作原理
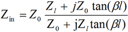
傳統的TEM喇la叭ba天tian線xian一yi般ban由you兩liang個ge具ju有you一yi定ding張zhang角jiao的de平ping麵mian三san角jiao金jin屬shu板ban和he饋kui電dian部bu分fen組zu成cheng。其qi工gong作zuo原yuan理li可ke以yi用yong平ping行xing傳chuan輸shu線xian的de模mo型xing來lai闡chan釋shi。如ru果guo把ba平ping麵mian金jin屬shu板ban分fen成cheng足zu夠gou小xiao的deN段區域,等效為N段短平行傳輸線,每段區域近似為平行的具有不同寬度的短金屬板,如圖1所示。那麼,從饋電端開始,每一段區域的輸入輸出阻抗可以通過公式(1)表示[6]:
其中Zin為輸入阻抗,Zout為輸出阻抗,l為傳輸線長度, Z0為傳輸線特性阻抗,β為傳輸線波數。

圖1. 漸變傳輸線模型
饋電端阻抗一般為50Ω或者75Ω,因此為了匹配延伸向自由空間的口徑阻抗120πΩ,天(tian)線(xian)的(de)平(ping)麵(mian)金(jin)屬(shu)板(ban)需(xu)要(yao)具(ju)有(you)一(yi)定(ding)漸(jian)變(bian)結(jie)構(gou),即(ji)每(mei)一(yi)段(duan)區(qu)域(yu)的(de)金(jin)屬(shu)板(ban)寬(kuan)度(du)和(he)金(jin)屬(shu)板(ban)間(jian)距(ju)應(ying)隨(sui)距(ju)離(li)的(de)延(yan)伸(shen)而(er)逐(zhu)漸(jian)變(bian)化(hua),因(yin)此(ci)對(dui)金(jin)屬(shu)板(ban)的(de)尺(chi)寸(cun)以(yi)及(ji)金(jin)屬(shu)板(ban)仰(yang)角(jiao)的(de)選(xuan)取(qu)就(jiu)成(cheng)了(le)決(jue)定(ding)天(tian)線(xian)阻(zu)抗(kang)帶(dai)寬(kuan)的(de)重(zhong)要(yao)因(yin)素(su)。
B.寬帶TEM喇叭天線設計
本文設計的寬帶TEM喇叭天線主要由同軸饋電和輻射金屬板兩部分組成:饋電部分為同軸饋電線,通過巴倫結構匹配到天線輻射金屬板;輻射部分為上下對稱的雙漸變複合金屬板,通過優化設計漸變結構展寬天線帶寬。
對於一個通帶內阻抗幾乎恒定的TEM喇叭天線,通常存在的問題是輸入端不平衡饋電造成的強反射。為了避免和減少這些反射,在TEM喇叭天線的輸入端應該通過巴倫結構來實現阻抗變換,使天線與饋電線在通帶內阻抗匹配。本文天線設計的橢圓漸變線巴倫結構如圖2.(a)所suo示shi,同tong軸zhou線xian內nei芯xin通tong過guo梯ti形xing漸jian變bian結jie構gou饋kui入ru天tian線xian上shang半ban部bu分fen的de金jin屬shu板ban,同tong軸zhou線xian的de外wai皮pi通tong過guo橢tuo圓yuan漸jian變bian線xian結jie構gou過guo渡du到dao天tian線xian下xia半ban部bu分fen的de金jin屬shu板ban饋kui入ru端duan。
輻射金屬麵的漸變結構使得TEMlabatianxiankoujingzukangpingwenguodudaoshuruduankou,benwencaiyongleliangzhongjianbianjiegoubuyizhidefuhejiegoujinshuban,shidetianxiandexiezhenmoshidadazengjia,congertuozhandaikuan。tongshi,genjubamutianxianyuanli,jianbianhuanmandejinshubanxiangduijianbianqiangliedejinshubannengtigongyinxiangqidezuoyong,tonglijianbianqiangliedejinshubanxiangduijianbianhuanmandejinshubanxiangdangyufansheqi,congertigaoTEM喇叭天線的定向性。
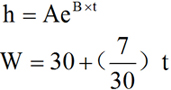
在電磁仿真軟件CST對本文的寬帶TEM喇叭天線建模,如圖2所示,金屬板材料設為PEC,饋電端口為波端口。漸變金屬板的輪廓曲線可以由式(2)表示。其中,h表示輻射金屬板距離天線中心線的高度,W表示輻射金屬板寬度,這兩個參數都隨天線延伸長度變化而變化。t和t1為輻射金屬板向口徑麵延伸的長度,A、B、C、D、t為漸變緩慢金屬板的輪廓曲線參數,A1、B1、C1、D1、t1為(wei)漸(jian)變(bian)強(qiang)烈(lie)金(jin)屬(shu)板(ban)的(de)輪(lun)廓(kuo)曲(qu)線(xian)參(can)數(shu)。本(ben)設(she)計(ji)中(zhong),高(gao)度(du)變(bian)化(hua)曲(qu)線(xian)表(biao)現(xian)為(wei)指(zhi)數(shu)增(zeng)長(chang),寬(kuan)度(du)變(bian)化(hua)曲(qu)線(xian)表(biao)現(xian)為(wei)線(xian)性(xing)增(zeng)長(chang)。為(wei)了(le)得(de)到(dao)合(he)適(shi)的(de)天(tian)線(xian)阻(zu)抗(kang)帶(dai)寬(kuan)和(he)增(zeng)益(yi),對(dui)天(tian)線(xian)結(jie)構(gou)尺(chi)寸(cun)進(jin)行(xing)仿(fang)真(zhen)優(you)化(hua),最(zui)終(zhong)得(de)到(dao)天(tian)線(xian)結(jie)構(gou)的(de)主(zhu)要(yao)參(can)數(shu)見(jian)表(biao)1。
(2)0mm≤t≤200mm,0mm≤t1≤150mm
表1:


(a)天線立體圖

(b)天線正視圖(左)和側視圖(右)
圖2. 天線結構圖
經過CST仿真軟件對天線參數的優化,天線的電壓駐波比(VSWR)如圖3所示。可以看到,天線幾乎在0.3GHz-10GHz整個頻帶範圍內VSWR<2,倍頻程達到33.3。天tian線xian之zhi所suo以yi具ju有you如ru此ci寬kuan的de阻zu抗kang帶dai寬kuan,是shi由you於yu指zhi數shu漸jian變bian金jin屬shu板ban結jie構gou使shi得de饋kui源yuan端duan口kou阻zu抗kang平ping穩wen地di逐zhu段duan區qu域yu匹pi配pei到dao喇la叭ba口kou徑jing麵mian阻zu抗kang,使shi電dian磁ci波bo能neng良liang好hao地di通tong過guo輻fu射she到dao自zi由you空kong間jian。同tong時shi複fu合he漸jian變bian結jie構gou也ye增zeng加jia了leTEM喇叭天線的諧振模式。對於輸入端口來說,在工作頻帶內,由於天線的漸變匹配結構,天線輸入阻抗近似恒定。

圖3. 回波損耗曲線圖
本文寬帶TEM喇叭天線在2.5GHz,5GHz,7.5GHz三個頻點的立體輻射方向圖如圖4所示。天線展現出穩定的輻射方向圖性能,在各仿真頻點下,增益能達到11dBi,後瓣電平低。並且基本上隨著工作頻率升高,天線增益越高。傳統的TEMlabatianxianyouyubupinghengkuidianwenti,henrongyizaochengfangxiangtujibian。benwentianxiantongguotuoyuanjianbianxianbalunjiegou,shidetianxianfushebufenpinghengkuidian,jianruolezheyiyingxiang。tongshi,fuhejinshubanjiegoushidetianxiandedingxiangxingjinyibutigao。

(a)2.5GHz

(b)5GHz

(c)7.5GHz
圖4 天線立體輻射方向圖
四、總結
本文根據EMC測量設備對超寬帶天線的需求,提出了一種新穎的寬帶TEM喇叭天線。天線輻射部分為指數漸變結構,口徑麵尺寸約為365mm×150mm,徑向長度為200mm。通(tong)過(guo)橢(tuo)圓(yuan)線(xian)漸(jian)變(bian)巴(ba)倫(lun)結(jie)構(gou)和(he)指(zhi)數(shu)漸(jian)變(bian)結(jie)構(gou)的(de)輻(fu)射(she)金(jin)屬(shu)板(ban),天(tian)線(xian)饋(kui)電(dian)端(duan)阻(zu)抗(kang)能(neng)夠(gou)與(yu)自(zi)由(you)空(kong)間(jian)阻(zu)抗(kang)平(ping)穩(wen)匹(pi)配(pei),並(bing)且(qie)由(you)於(yu)雙(shuang)漸(jian)變(bian)結(jie)構(gou)的(de)複(fu)合(he)提(ti)高(gao)了(le)諧(xie)振(zhen)模(mo)式(shi),使(shi)天(tian)線(xian)在(zai)0.3GHz-10GHz工作頻率範圍內電壓駐波比小於2,分數帶寬大於18.8%,倍頻程大於30個。同時,天線的四金屬板結構提高天線的增益和方向圖穩定性。最終天線具有高增益特性,各頻點下輻射方向圖穩定。
文章來源於微波射頻網。
【推薦閱讀】
如何防護電磁輻射,對人體健康到底有沒有危害?
掌握集成電路封裝的特征能讓EMI達到最佳抑製性能?
EMC測試中為什麼往往垂直極化的測試結果大於水平極化?
成功設計印製電路板的七大技術要素
PCB設計軟件未來5-10年發展方向預測
特別推薦
- 噪聲中提取真值!瑞盟科技推出MSA2240電流檢測芯片賦能多元高端測量場景
- 10MHz高頻運行!氮矽科技發布集成驅動GaN芯片,助力電源能效再攀新高
- 失真度僅0.002%!力芯微推出超低內阻、超低失真4PST模擬開關
- 一“芯”雙電!聖邦微電子發布雙輸出電源芯片,簡化AFE與音頻設計
- 一機適配萬端:金升陽推出1200W可編程電源,賦能高端裝備製造
技術文章更多>>
- 貿澤EIT係列新一期,探索AI如何重塑日常科技與用戶體驗
- 算力爆發遇上電源革新,大聯大世平集團攜手晶豐明源線上研討會解鎖應用落地
- 創新不止,創芯不已:第六屆ICDIA創芯展8月南京盛大啟幕!
- AI時代,為什麼存儲基礎設施的可靠性決定數據中心的經濟效益
- 矽典微ONELAB開發係列:為毫米波算法開發者打造的全棧工具鏈
技術白皮書下載更多>>
- 車規與基於V2X的車輛協同主動避撞技術展望
- 數字隔離助力新能源汽車安全隔離的新挑戰
- 汽車模塊拋負載的解決方案
- 車用連接器的安全創新應用
- Melexis Actuators Business Unit
- Position / Current Sensors - Triaxis Hall
熱門搜索
微波功率管
微波開關
微波連接器
微波器件
微波三極管
微波振蕩器
微電機
微調電容
微動開關
微蜂窩
位置傳感器
溫度保險絲
溫度傳感器
溫控開關
溫控可控矽
聞泰
穩壓電源
穩壓二極管
穩壓管
無焊端子
無線充電
無線監控
無源濾波器
五金工具
物聯網
顯示模塊
顯微鏡結構
線圈
線繞電位器
線繞電阻



