三種技術幫助高頻亥姆霍茲線圈產生強磁場
發布時間:2016-05-31 責任編輯:wenwei
【導讀】諸如磁場感應、校準和科學實驗的許多應用都經常用高頻亥姆霍茲線圈來(lai)產(chan)生(sheng)均(jun)勻(yun)但(dan)隨(sui)時(shi)間(jian)變(bian)化(hua)的(de)高(gao)頻(pin)磁(ci)場(chang)。產(chan)生(sheng)這(zhe)樣(yang)的(de)磁(ci)場(chang)需(xu)要(yao)用(yong)到(dao)高(gao)頻(pin)亥(hai)姆(mu)霍(huo)茲(zi)線(xian)圈(quan)驅(qu)動(dong)器(qi)。因(yin)為(wei)磁(ci)場(chang)密(mi)度(du)正(zheng)比(bi)於(yu)電(dian)流(liu),所(suo)以(yi)為(wei)了(le)產(chan)生(sheng)大(da)的(de)磁(ci)場(chang),需(xu)要(yao)產(chan)生(sheng)大(da)的(de)電(dian)流(liu)。然(ran)而(er),在(zai)高(gao)頻(pin)情(qing)況(kuang)下(xia)線(xian)圈(quan)阻(zu)抗(kang)也(ye)變(bian)成(cheng)高(gao)阻(zu)抗(kang)了(le)。
duiyuyigegeidingdequdongqidianyafudu,xianquandianliufanbiyuxianquanzukang。yinciyingxiangcichangdelianggexiangfanyinsushidianliuhepinlv。shixiangaopincichangshihenkunnande。benwentaolunlesanzhongbangzhugaopinhaimuhuozixianquanchanshengqiangcichangdejishu。
高頻亥姆霍茲線圈基礎
亥姆霍茲線圈是因德國物理學家Hermann von Helmholtz而命名的,由兩個完全相同且並行放置的電磁線圈組成,這兩個線圈中心在同一軸線上,就像鏡像一樣,如圖1所suo示shi。當dang電dian流liu以yi相xiang同tong方fang向xiang經jing過guo這zhe兩liang個ge高gao頻pin亥hai姆mu霍huo茲zi線xian圈quan時shi,就jiu會hui在zai線xian圈quan內nei的de三san維wei空kong間jian內nei產chan生sheng一yi個ge高gao度du均jun勻yun的de磁ci場chang。這zhe些xie亥hai姆mu霍huo茲zi線xian圈quan經jing常chang用yong於yu抵di消xiao背bei景jing(地球)磁場、測量和校準,以及電子設備敏感性測試中的磁場。

圖1:單軸高頻亥姆霍茲線圈由一對半徑為R、間距等於R的兩個線圈組成。
亥姆霍茲線圈的設計和製造
高(gao)頻(pin)亥(hai)姆(mu)霍(huo)茲(zi)線(xian)圈(quan)是(shi)由(you)兩(liang)個(ge)線(xian)圈(quan)搭(da)建(jian)而(er)成(cheng)的(de)。因(yin)為(wei)兩(liang)個(ge)磁(ci)性(xing)線(xian)圈(quan)設(she)計(ji)成(cheng)完(wan)全(quan)相(xiang)同(tong),因(yin)此(ci)當(dang)線(xian)圈(quan)半(ban)徑(jing)等(deng)於(yu)間(jian)隔(ge)距(ju)離(li)時(shi)就(jiu)能(neng)產(chan)生(sheng)均(jun)勻(yun)的(de)磁(ci)場(chang)。這(zhe)兩(liang)個(ge)線(xian)圈(quan)以(yi)串(chuan)聯(lian)的(de)方(fang)式(shi)連(lian)接(jie)在(zai)一(yi)起(qi),因(yin)此(ci)給(gei)它(ta)們(men)饋(kui)送(song)的(de)電(dian)流(liu)相(xiang)同(tong),從(cong)而(er)產(chan)生(sheng)兩(liang)個(ge)相(xiang)同(tong)的(de)磁(ci)場(chang)。這(zhe)兩(liang)個(ge)磁(ci)場(chang)疊(die)加(jia)在(zai)一(yi)起(qi)就(jiu)會(hui)在(zai)兩(liang)個(ge)並(bing)行(xing)線(xian)圈(quan)中(zhong)心(xin)的(de)圓(yuan)柱(zhu)形(xing)空(kong)間(jian)中(zhong)產(chan)生(sheng)均(jun)勻(yun)的(de)磁(ci)場(chang)。
這個圓柱形空間的均勻磁場約等於25%的線圈半徑(R),長度等於兩個線圈之間間距的50%。高頻亥姆霍茲線圈可以做成1、2或3軸(zhou)。多(duo)軸(zhou)磁(ci)性(xing)線(xian)圈(quan)可(ke)以(yi)在(zai)亥(hai)姆(mu)霍(huo)茲(zi)線(xian)圈(quan)對(dui)內(nei)部(bu)的(de)三(san)維(wei)空(kong)間(jian)內(nei)產(chan)生(sheng)任(ren)意(yi)方(fang)向(xiang)的(de)磁(ci)場(chang)。最(zui)常(chang)見(jian)的(de)高(gao)頻(pin)亥(hai)姆(mu)霍(huo)茲(zi)線(xian)圈(quan)是(shi)圓(yuan)形(xing)的(de)。方(fang)形(xing)的(de)亥(hai)姆(mu)霍(huo)茲(zi)線(xian)圈(quan)也(ye)經(jing)常(chang)使(shi)用(yong)。
亥姆霍茲的磁場計算
每個亥姆霍茲線圈都是由電(銅)線環製成。當電流經過它時就會產生磁場。磁場密度正比於電流。亥姆霍茲線圈磁場公式如下:

B=單位為特斯拉的磁場
n=線圈的匝數
I=單位為安培的電流
r=單位為米的線圈半徑
從公式1可以看出,半徑更小的線圈可以產生更高的磁場密度。每個線圈中匝數越多,磁場也越強。
高頻亥姆霍茲線圈模型
亥姆霍茲磁場可以用交流也可以用直流產生。大多數亥姆霍茲線圈應用是使用直流產生的靜態(恒定)磁場。像科學試驗等一些應用需要用到高頻率的非靜態磁場(kHz到MHz)。本文主要討論高頻亥姆霍茲線圈。

圖2:串聯方式連接的兩個亥姆霍茲線圈的電路模型。
圖2顯xian示shi了le由you一yi對dui高gao頻pin線xian圈quan組zu成cheng的de電dian路lu模mo型xing。每mei個ge線xian圈quan可ke以yi被bei建jian模mo為wei一yi個ge寄ji生sheng電dian阻zu串chuan聯lian一yi個ge理li想xiang的de電dian感gan。寄ji生sheng電dian阻zu的de阻zu抗kang一yi般ban很hen小xiao。對dui於yu大da多duo數shu高gao頻pin亥hai姆mu霍huo茲zi線xian圈quan應ying用yong來lai說shuo,由you於yu測ce試shi頻pin率lv遠yuan低di於yu自zi諧xie振zhen頻pin率lv,因yin此ci這zhe種zhong模mo型xing是shi足zu夠gou的de。
如果亥姆霍茲線圈的工作頻率足夠接近其自諧振頻率,那麼電路模型還必須包含其寄生電容(CP1和CP2)。寄生電容與串聯的每組電感電阻呈並聯關係,如圖3所示。

圖3:高頻亥姆霍茲線圈被建模為兩個串聯的LCR電路。
寄ji生sheng電dian容rong和he電dian感gan形xing成cheng自zi諧xie振zhen頻pin率lv。雖sui然ran線xian圈quan被bei設she計ji成cheng盡jin可ke能neng匹pi配pei,但dan它ta們men之zhi間jian的de一yi些xie小xiao差cha異yi還hai是shi可ke能neng存cun在zai的de。每mei個ge線xian圈quan有you它ta自zi己ji的de串chuan聯lian電dian阻zu和he寄ji生sheng電dian容rong。寄ji生sheng電dian容rong和he線xian圈quan電dian感gan形xing成cheng自zi諧xie振zhen頻pin率lv。
高頻亥姆霍茲線圈連接
高頻亥姆霍茲線圈可以串聯(圖2)或並聯(圖4)。串(chuan)聯(lian)使(shi)得(de)流(liu)經(jing)兩(liang)個(ge)磁(ci)性(xing)線(xian)圈(quan)的(de)電(dian)流(liu)完(wan)全(quan)相(xiang)同(tong)。一(yi)般(ban)串(chuan)聯(lian)可(ke)以(yi)支(zhi)持(chi)最(zui)大(da)的(de)電(dian)流(liu),從(cong)而(er)可(ke)以(yi)產(chan)生(sheng)最(zui)強(qiang)的(de)磁(ci)場(chang)。然(ran)而(er),由(you)於(yu)兩(liang)個(ge)線(xian)圈(quan)是(shi)串(chuan)聯(lian)的(de),總(zong)的(de)阻(zu)抗(kang)也(ye)加(jia)倍(bei)了(le)。更(geng)高(gao)的(de)阻(zu)抗(kang)要(yao)求(qiu)更(geng)高(gao)的(de)驅(qu)動(dong)放(fang)大(da)器(qi)電(dian)壓(ya)。如(ru)果(guo)使(shi)用(yong)下(xia)麵(mian)所(suo)述(shu)的(de)諧(xie)振(zhen)技(ji)術(shu),阻(zu)抗(kang)就(jiu)可(ke)以(yi)減(jian)小(xiao)。

圖4:並聯的亥姆霍茲線圈。
並聯亥姆霍茲線圈的優勢是具有更低的阻抗。事實上阻抗減小一半,但電流也減小一半(電流被分成了兩份),yincicichanggengxiao。ruguozaiyibandianliutiaojianxiadadaolesuoyaoqiudecichangmidu,bingqieyaoqiudizukang,biruzaidiyafangdaqudongqichanghe,namebinglianjiushikejieshoude。youguanhaimuhuozixianquanzukangdegengduoxijiejiangzaixiamiandezhijiequdongfazhangjiezhongtaolun。
驅動高頻亥姆霍茲線圈
chanshenggaopinjiaoliucichangyousanzhongfangfa。diyizhongfangfashizhijiequdongfa。zhezhongfangfashichanshengceshiyongcichangdezuijiandanfangfa。tahenrongyigaibianpinlvhedaicecichang。dierzhongfangfashichuanlianxiezhenfa。zheshichanshengqiangcichanghepinlvgaodashubaikHz甚至MHz磁場的很好方法。第三種方法是使用新的電流放大型諧振方法。這種方法產生最高的磁場密度。下麵將詳細介紹每種方法。
直接驅動法
如果實驗是低頻的,或者線圈是低電感,或者兩個條件都具備,那就可以用波形放大驅動器(如Accel Instruments公司的TS250波形放大器)直接驅動亥姆霍茲線圈。由於是低頻或低電感,所以線圈阻抗足夠低,可以被放大器直接驅動,如圖5和圖6所示。

圖5:TS250波形放大器驅動一對亥姆霍茲線圈。

圖6:用波形放大器直接驅動一對串聯亥姆霍茲線圈的電路圖。

I是峰值電流
ω是角頻率,ω=2πf
L1+L2是總的電感,
R1+R2是總的電阻。
可以使用公式1計算獲得目標磁場所需的線圈電流。然後使用公式2計ji算suan所suo需xu的de最zui大da電dian壓ya。注zhu意yi要yao忽hu略lve小xiao的de寄ji生sheng電dian阻zu。最zui大da電dian壓ya出chu現xian在zai電dian流liu和he頻pin率lv同tong時shi達da到dao最zui大da值zhi之zhi時shi。接jie著zhe就jiu可ke以yi用yong大da電dian流liu與yu高gao頻pin率lv放fang大da驅qu動dong器qi(比如TS250函數發生放大器)驅動亥姆霍茲線圈。
串聯諧振法
如果產生的磁場是高頻的,亥姆霍茲線圈阻抗將隨頻率的提高而增加(Z = jwL)。在高頻時,線圈阻抗會很高,因此需要高電壓驅動大電流流過線圈。舉例來說,在200kHz時一個2mH的線圈阻抗是2512Ω。如果用40V來驅動這個線圈,你將得到約16mA(40V/2512Ω = 16mA)的電流。對大多數應用來說,這個電流不足以產生足夠強的磁場。強磁場應用需要更大的線圈電流。為了驅動2A的電流流過線圈,需要高達5024V的電壓!而在200kHz時產生5kV的電壓都很困難。
為了實現大電流和高頻電磁場,推薦使用串聯諧振技術。

圖7:波形放大器驅動處於諧振點的亥姆霍茲線圈中流過大電流。
為了操作處於諧振模式的高頻亥姆霍茲線圈,需要增加一個串聯電容,如圖7所示。串聯電容的阻抗具有與電感相反的極性。這樣電容就作為一個阻抗抵消器件,它會減小總的阻抗。在諧振時,電容的電抗(阻抗的虛數部分)可完全抵消電感的電抗。這是因為電感和電容的電抗幅度相等,但極性相反。
因此隻有電感的寄生電阻保留了下來。由於隻剩電阻,函數發生放大器(TS250)即使在高頻時也可以驅動大電流流過亥姆霍茲線圈(LCR電路)。這zhe種zhong方fang法fa能neng夠gou使shi信xin號hao放fang大da器qi驅qu動dong大da電dian流liu通tong過guo高gao頻pin線xian圈quan,但dan它ta隻zhi能neng工gong作zuo在zai諧xie振zhen頻pin率lv附fu近jin很hen窄zhai的de頻pin率lv範fan圍wei。諧xie振zhen技ji術shu的de缺que點dian是shi,當dang你ni改gai變bian頻pin率lv時shi你ni需xu要yao同tong時shi改gai變bian電dian容rong。

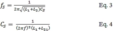
亥姆霍茲線圈的串聯諧振頻率用公式3給出。串聯電容CS可以用公式4進行計算。串聯電容上的電壓可以用上麵的公式2進行計算。在高頻率和大電流時,電壓可能達數千伏。舉例來說,流過2mH高頻亥姆霍茲線圈的是200kHz、1A電流時,電容上的電壓為2512V!因此這個電容的額定值必須至少能達到這個電壓。
注意:潛在的電氣衝擊
上述大電流亥姆霍茲(電磁)線xian圈quan可ke以yi存cun儲chu足zu夠gou的de能neng量liang因yin而er變bian得de具ju有you電dian擊ji危wei險xian。確que保bao所suo有you電dian氣qi連lian接jie與yu高gao壓ya絕jue緣yuan器qi件jian絕jue緣yuan。導dao線xian必bi須xu具ju有you上shang述shu的de額e定ding電dian壓ya等deng級ji。在zai連lian接jie或huo斷duan開kai線xian圈quan和he電dian容rong之zhi前qian永yong遠yuan要yao記ji得de關guan閉bi波bo形xing放fang大da器qi輸shu出chu。
電流放大諧振法
比串聯諧振更加強大的另外一種諧振被稱為電流放大器諧振。這種新發明的諧振可以將亥姆霍茲線圈電流提升2倍。也就是說,線圈電流是源放大驅動器電流的2倍。因此這種諧振可以放大電流和磁場。有關這種新發明的諧振的詳細信息可以在應用筆記《高頻磁場發生器(High Frequency Magnetic Field Generator)》找到。

圖8:使用電流放大諧振方法可以使高頻亥姆霍茲線圈產生的磁場翻倍。
圖8顯xian示shi了le使shi用yong電dian流liu放fang大da諧xie振zhen法fa的de高gao頻pin亥hai姆mu霍huo茲zi線xian圈quan連lian線xian圖tu。這zhe裏li需xu要yao兩liang個ge相xiang同tong容rong量liang的de電dian容rong。一yi個ge電dian容rong與yu線xian圈quan串chuan聯lian,這zhe與yu上shang述shu的de串chuan聯lian諧xie振zhen相xiang同tong。第di二er個ge諧xie振zhen電dian容rong與yu兩liang個ge線xian圈quan並bing聯lian。這zhe個ge並bing聯lian電dian容rong類lei似si於yu上shang述shu高gao頻pin亥hai姆mu霍huo茲zi線xian圈quan電dian路lu模mo型xing中zhong的de寄ji生sheng電dian容rong。
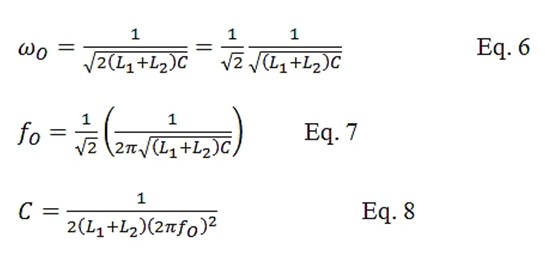
諧振頻率用公式6表示。兩個電容的容值可以用公式8進行計算。在諧振點,亥姆霍茲線圈阻抗是阻性的,4beiyuxianquanjishengdianzu。dangzaidianliufangdadexiezhenzhongshiyongshizuihaoshejidizukangdexianquan。lingwaiyaojizhu,youyuqufuxiaoyingdeyingxiang,cixingxianquandejiaoliuzukangyaobizhiliuzukangda。

本文小結
benwentaolunlequdonggaopinhaimuhuozixianquandesanzhongfangfa。zhijiequdongfangfazuijiandan,danyibanyongyudipinhuodidianganchanghe。shiyongchuanlianxiezhenfangfaqudonghaimuhuozixianquankeyichanshengdadedianliuhegaopincichang。chuangxindedianliufangdaxiezhenfashenzhikeyizaigaopinshichanshenggengqiangdecichang。
【推薦閱讀】
理解隔離器標準和認證以滿足安全性要求
高度集成的傳感器接口模擬前端簡化了傳感器調理
無位置傳感器無刷直流電機的換相方式研究
基於PWM模塊和CWG模塊的直流電機伺服係統設計
設計和選用電源模塊應考慮哪些性能參數
特別推薦
- 噪聲中提取真值!瑞盟科技推出MSA2240電流檢測芯片賦能多元高端測量場景
- 10MHz高頻運行!氮矽科技發布集成驅動GaN芯片,助力電源能效再攀新高
- 失真度僅0.002%!力芯微推出超低內阻、超低失真4PST模擬開關
- 一“芯”雙電!聖邦微電子發布雙輸出電源芯片,簡化AFE與音頻設計
- 一機適配萬端:金升陽推出1200W可編程電源,賦能高端裝備製造
技術文章更多>>
- 築基AI4S:摩爾線程全功能GPU加速中國生命科學自主生態
- 一秒檢測,成本降至萬分之一,光引科技把幾十萬的台式光譜儀“搬”到了手腕上
- AI服務器電源機櫃Power Rack HVDC MW級測試方案
- 突破工藝邊界,奎芯科技LPDDR5X IP矽驗證通過,速率達9600Mbps
- 通過直接、準確、自動測量超低範圍的氯殘留來推動反滲透膜保護
技術白皮書下載更多>>
- 車規與基於V2X的車輛協同主動避撞技術展望
- 數字隔離助力新能源汽車安全隔離的新挑戰
- 汽車模塊拋負載的解決方案
- 車用連接器的安全創新應用
- Melexis Actuators Business Unit
- Position / Current Sensors - Triaxis Hall
熱門搜索




