如何為電機控製應用選擇合適的檢測電阻?
發布時間:2019-01-10 責任編輯:xueqi
【導讀】本(ben)文(wen)介(jie)紹(shao)傳(chuan)統(tong)光(guang)耦(ou)合(he)器(qi)技(ji)術(shu)標(biao)準(zhun)與(yu)用(yong)於(yu)增(zeng)強(qiang)隔(ge)離(li)的(de)感(gan)性(xing)和(he)容(rong)性(xing)技(ji)術(shu)標(biao)準(zhun)之(zhi)間(jian)的(de)差(cha)異(yi),並(bing)概(gai)述(shu)一(yi)個(ge)采(cai)用(yong)數(shu)字(zi)控(kong)製(zhi)的(de)電(dian)機(ji)驅(qu)動(dong)係(xi)統(tong),其(qi)集(ji)成(cheng)了(le)電(dian)流(liu)檢(jian)測(ce)電(dian)阻(zu)以(yi)檢(jian)測(ce)繞(rao)組(zu)電(dian)流(liu)。本(ben)文(wen)還(hai)會(hui)就(jiu)如(ru)何(he)為(wei)此(ci)應(ying)用(yong)選(xuan)擇(ze)最(zui)合(he)適(shi)的(de)電(dian)流(liu)檢(jian)測(ce)電(dian)阻(zu)提(ti)供(gong)一(yi)些(xie)建(jian)議(yi)。
簡介
在受益於新型數字隔離技術的電機控製係統設計中,使用電流檢測電阻已成為一個趨勢。元件級標準IEC 60747-17規定了容性和磁性耦合隔離器的性能、測試和認證要求,該標準的引入使得此類技術能夠提供更高的可靠性。數字隔離還有其他好處,例如:環路響應更快、支zhi持chi集ji成cheng過guo流liu保bao護hu以yi及ji死si區qu更geng窄zhai等deng。這zhe使shi得de輸shu出chu電dian壓ya更geng平ping順shun,進jin而er對dui扭niu矩ju的de控kong製zhi也ye更geng得de力li。本ben文wen會hui簡jian要yao介jie紹shao傳chuan統tong光guang耦ou合he器qi技ji術shu標biao準zhun與yu用yong於yu增zeng強qiang隔ge離li的de感gan性xing和he容rong性xing技ji術shu標biao準zhun之zhi間jian的de差cha異yi。另ling外wai也ye會hui概gai述shu一yi個ge采cai用yong數shu字zi控kong製zhi的de電dian機ji驅qu動dong係xi統tong,其qi集ji成cheng了le電dian流liu檢jian測ce電dian阻zu以yi檢jian測ce繞rao組zu電dian流liu。本ben文wen還hai會hui就jiu如ru何he為wei此ci應ying用yong選xuan擇ze最zui合he適shi的de電dian流liu檢jian測ce電dian阻zu提ti供gong一yi些xie建jian議yi。
適用於電機驅動的隔離標準更新信息
電機驅動設計人員大都知道設計需要滿足國際隔離標準。隔離很重要,原因如下:
1、防止高功率電路地連接的電氣噪聲感應到低功率信號線路上。
2、防止危險電壓和電流傳輸到危害較低的低壓環境,保障最終用戶的安全。
IEC 61010-1第3版標準規定,係統設計人員必須知曉導體間距離、電氣間隙和爬電距離。它還規定,係統設計人員必須知道應將導線與罐裝、模塑料和薄膜絕緣層中的金屬部件分離。如果器件用在需符合IEC61010-1標準的係統上,設計人員應確保所選器件能保證一定的安全性。根據IEC 60747-17標準,增強隔離要利用行業公認的經時電介質擊穿(TDDB)分析進行測試,這樣有助於推斷器件的使用壽命和連續工作電壓(VIORM)。
IEC 60747-17 (DIN V VDE V 0884-11)明確定義了采用感性和容性技術的絕緣,而公認的IEC 60747-5-5標準則被用來定義采用光耦合器技術的絕緣。然而,IEC 60747-5-5沒有規定通過TDDB分(fen)析(xi)來(lai)確(que)定(ding)連(lian)續(xu)工(gong)作(zuo)電(dian)壓(ya)和(he)使(shi)用(yong)壽(shou)命(ming)。它(ta)依(yi)賴(lai)局(ju)部(bu)放(fang)電(dian)電(dian)壓(ya)測(ce)試(shi)來(lai)確(que)定(ding)工(gong)作(zuo)電(dian)壓(ya),但(dan)並(bing)未(wei)定(ding)義(yi)器(qi)件(jian)的(de)工(gong)作(zuo)壽(shou)命(ming)。因(yin)此(ci),感(gan)性(xing)和(he)容(rong)性(xing)技(ji)術(shu)的(de)最(zui)低(di)額(e)定(ding)壽(shou)命(ming)為(wei)37.5年,而對光耦合器隔離器則未作規定。
表1總zong結jie了le光guang耦ou合he器qi和he非fei光guang耦ou合he器qi標biao準zhun的de主zhu要yao差cha異yi。結jie論lun是shi隨sui著zhe時shi間jian推tui移yi,基ji於yu非fei光guang耦ou合he器qi的de標biao準zhun會hui被bei更geng廣guang泛fan地di接jie受shou,因yin為wei其qi對dui設she計ji工gong程cheng師shi而er言yan安an全quan性xing更geng高gao,並bing且qie具ju有you更geng長chang的de工gong作zuo壽shou命ming。

表1:光耦合器和非光耦合器隔離的主要區別

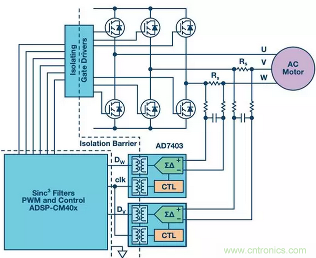
圖1:采用數字隔離和檢測電阻的三相電機驅動功能框圖
采用檢測電阻的典型增強隔離係統
圖1所示為一個典型三相永磁電機驅動係統,其利用檢測電阻測量繞組電流,並通過ADI公司的AD7403隔離式Σ-Δ調製器和sinc3濾波器提供反饋。AD7403使用單個二階調製器數字化電路來將檢測電阻的模擬信號轉換為隔離的一位數字脈衝流,其大小取決於滿量程輸入電壓範圍。然後,sinc3濾波器提取電流平均值,同時消除逆變器開關產生的噪聲。其存儲器可以存儲一個代表電流的16位(wei)整(zheng)數(shu),與(yu)此(ci)同(tong)時(shi),它(ta)可(ke)以(yi)將(jiang)該(gai)數(shu)值(zhi)與(yu)一(yi)個(ge)代(dai)表(biao)電(dian)流(liu)限(xian)值(zhi)的(de)基(ji)準(zhun)值(zhi)相(xiang)比(bi)較(jiao),如(ru)果(guo)發(fa)生(sheng)過(guo)載(zai),它(ta)就(jiu)會(hui)通(tong)過(guo)單(dan)獨(du)的(de)引(yin)腳(jiao)發(fa)送(song)警(jing)報(bao)。利(li)用(yong)更(geng)短(duan)的(de)濾(lv)波(bo)器(qi)監(jian)控(kong)過(guo)載(zai),並(bing)將(jiang)其(qi)與(yu)測(ce)量(liang)濾(lv)波(bo)器(qi)並(bing)聯(lian),可(ke)以(yi)縮(suo)短(duan)警(jing)報(bao)延(yan)遲(chi)時(shi)間(jian)。
AD7403具(ju)有(you)增(zeng)強(qiang)隔(ge)離(li)特(te)性(xing),調(tiao)製(zhi)器(qi)可(ke)以(yi)直(zhi)接(jie)測(ce)量(liang)電(dian)流(liu)檢(jian)測(ce)電(dian)阻(zu)的(de)電(dian)壓(ya),除(chu)了(le)一(yi)個(ge)由(you)電(dian)阻(zu)和(he)電(dian)容(rong)構(gou)成(cheng)的(de)簡(jian)單(dan)分(fen)立(li)低(di)通(tong)濾(lv)波(bo)器(qi)以(yi)外(wai),不(bu)需(xu)要(yao)其(qi)他(ta)額(e)外(wai)元(yuan)件(jian)。調(tiao)製(zhi)器(qi)的(de)額(e)定(ding)最(zui)大(da)工(gong)作(zuo)電(dian)壓(ya)為(wei)±250 mV,因而電流檢測電阻的阻值需小於250 mV/IMAX。
選擇合適檢測電阻的考慮因素
電阻溫漂
AD7403的輸出為16位數值,因此限製電流測量潛在精度不是受限於ADC轉換,而是受限於電壓讀數本身。電阻隨溫度的漂移取決於電阻元件使用的材質、功率額定值和元件的實際尺寸。
由鎳、銅、錳特殊合金製成的阻性元件的電阻溫漂曲線呈拋物線形狀,如圖2所示。對於電流檢測應用,這些合金是精度最高的材料。圖2還顯示了Bourns CSS4J-4026R型電阻溫漂的上限和下限,對應於50 ppm/°C的溫度係數。此差距是由電阻的銅引腳引起的,銅具有很高的TCR (4000 ppm/°C),導致溫漂增加。
Bourns CST0612係列是由特殊合金製成的1 W、4引腳電阻。其尺寸為3.2 mm × 1.65 mm,TCR為±100 ppm/°C,Bourns CST0612型和CSS4J-4026R型的TCR差異可以用銅含量相對於阻性元件的比例來解釋。增加低熱阻的銅有助於元件吸收高功率而不會過熱。本例展示了元件尺寸、功率額定值和阻值溫漂的取舍關係。

圖2. Bourns CSS4J-4026R型電流檢測電阻的拋物線形TCR曲線
電阻溫漂計算
讓我們以Bourns產品型號CSS4J-4026R-L500F為例,計算其在全功率和70°C環境溫度下的電阻溫漂。CSS4J-4026R-L500F是一款0.5mΩ (±1%)檢測電阻,額定功率為5 W,最高環境溫度為130°C。在170°C時,其額定功率從100%減額至0 W。因此,該元件的熱阻為8°C/W。在全功率和70°C環境溫度下,預期元件的表麵溫度會達到110°C (70°C + 8×5°C)。110°C時的阻值溫漂可以從圖3得知,25°C時的標稱值為+0.45%。絕對容差為±1%,因此電流測量精度最大值為+1.45%。
過載
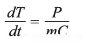
電機驅動偶爾會發生短路,電流檢測電阻必須能夠承受短時過載而不受損。以Bourns CST0612型電流檢測電阻為例,根據Bourns網站上的材料數據表,可以算出此元件的質量為0.0132 g。另外,也可以根據尺寸及銅合金的密度(8.4 g/cm3)來計算。溫升速率可計算如下:

其中,P為功率(W),m為元件質量(g),C為合金的比熱容量。1 mΩ的電阻過載50 A時,會產生每秒462°C的溫度壓擺率。假設穩態溫度為50°C,則短路周期的寬度不能超過0.22秒。通過在電路板上鍍銅以增加整體質量,可以延長此寬度。
在相同過載下,使用較厚、較大的元件時,例如質量為0.371 g的CSS4J-4026型電阻,溫度壓擺率將是每秒16.5°C。假設元件表麵溫度為100°C,則它承受該能量的最長時間將是4秒,然後表麵溫度才會達到最大允許值170°C。
合適的阻值
電阻提供的AD7403滿量程輸入為±250 mV。表2中的矩陣列出了最大電流時Bourns高功率電流檢測電阻上的壓降。對於較低電壓,設計人員可通過調整比例因子來補償。

表2:最大電流和Bourns電流檢測電阻上的壓降
結語
根據IEC60747-17,具有增強隔離性能的數字隔離器的最低壽命應為37.5年(nian)。雖(sui)然(ran)更(geng)傳(chuan)統(tong)的(de)光(guang)耦(ou)合(he)器(qi)技(ji)術(shu)沒(mei)有(you)此(ci)類(lei)指(zhi)標(biao),但(dan)未(wei)來(lai)數(shu)字(zi)隔(ge)離(li)係(xi)統(tong)會(hui)對(dui)設(she)計(ji)人(ren)員(yuan)提(ti)供(gong)更(geng)多(duo)保(bao)障(zhang)。利(li)用(yong)特(te)殊(shu)合(he)金(jin)製(zhi)成(cheng)的(de)電(dian)流(liu)檢(jian)測(ce)電(dian)阻(zu)具(ju)有(you)很(hen)低(di)的(de)電(dian)阻(zu)溫(wen)漂(piao),其(qi)產(chan)生(sheng)的(de)輸(shu)出(chu)電(dian)壓(ya)可(ke)以(yi)由(you)隔(ge)離(li)式(shi)Σ-Δ調製器(例如采用ADI iCoupler®技術的器件)用一個可調整比例因子來讀取。電流測量的精度取決於電阻溫度,後者又取決於功率相對於額定功率的比例以及環境溫度。
參考文獻
O ’ Byrne,Nicola。“Σ- Δ調製器提高運動控製效率”。ADI公司,2015。
O’Sullivan,Dara,Jens Sorensen,Aengus Murray。應用筆記AN1265,使用ADSP-SM402F/ADSP-CM403F/ADSP-CM407F/ADSPCM408F Sinc濾波器和 AD7403實現隔離式電機控製反饋。ADI公司,2015。
作者簡介
Nicola O’Byrne是ADI公司工業自動化業務部電機與功率控製(MPC)團隊的高級係統應用工程師,為電機控製和其他精密工業應用提供支持。Nicola在ADI工作了20年,擔任現有職務前曾管理精密ADC應用團隊。Nicola於1996年在科克大學獲得工程學士學位,之後加入ADI。Nicola持有多項專利,在ADI會議和行業論壇上均發表過演進。
Cathal Sheehan是Bourns消費電子部門技術市場經理,工作地點在愛爾蘭科克市。聯係方式:
文章來源:電機控製設計加油站
作者:Cathal Sheehan Bourns® Electronics Nicola O’Byrne ADI公司
特別推薦
- 噪聲中提取真值!瑞盟科技推出MSA2240電流檢測芯片賦能多元高端測量場景
- 10MHz高頻運行!氮矽科技發布集成驅動GaN芯片,助力電源能效再攀新高
- 失真度僅0.002%!力芯微推出超低內阻、超低失真4PST模擬開關
- 一“芯”雙電!聖邦微電子發布雙輸出電源芯片,簡化AFE與音頻設計
- 一機適配萬端:金升陽推出1200W可編程電源,賦能高端裝備製造
技術文章更多>>
- 築基AI4S:摩爾線程全功能GPU加速中國生命科學自主生態
- 一秒檢測,成本降至萬分之一,光引科技把幾十萬的台式光譜儀“搬”到了手腕上
- AI服務器電源機櫃Power Rack HVDC MW級測試方案
- 突破工藝邊界,奎芯科技LPDDR5X IP矽驗證通過,速率達9600Mbps
- 通過直接、準確、自動測量超低範圍的氯殘留來推動反滲透膜保護
技術白皮書下載更多>>
- 車規與基於V2X的車輛協同主動避撞技術展望
- 數字隔離助力新能源汽車安全隔離的新挑戰
- 汽車模塊拋負載的解決方案
- 車用連接器的安全創新應用
- Melexis Actuators Business Unit
- Position / Current Sensors - Triaxis Hall
熱門搜索
微波功率管
微波開關
微波連接器
微波器件
微波三極管
微波振蕩器
微電機
微調電容
微動開關
微蜂窩
位置傳感器
溫度保險絲
溫度傳感器
溫控開關
溫控可控矽
聞泰
穩壓電源
穩壓二極管
穩壓管
無焊端子
無線充電
無線監控
無源濾波器
五金工具
物聯網
顯示模塊
顯微鏡結構
線圈
線繞電位器
線繞電阻


