低電磁騷擾開關電源的實現
發布時間:2010-10-05 來源:現代電子技術
- 電路結構與降噪原理
- 主要器件參數的設定
- 電源測試與效果
- 從源頭上消除電磁噪聲
- 係統互補抑製噪聲技術
電源裝置是電子電氣設備中所不可缺少的部件,開關電源以其效率高、體積小、重量輕、電dian壓ya適shi應ying性xing好hao等deng優you點dian,受shou到dao相xiang關guan行xing業ye的de青qing睞lai。但dan目mu前qian存cun在zai的de缺que陷xian是shi電dian磁ci騷sao擾rao大da,對dui環huan境jing或huo對dui其qi他ta設she備bei造zao成cheng不bu利li影ying響xiang。目mu前qian對dui於yu可ke變bian負fu載zai的de開kai關guan電dian源yuan,筆bi者zhe所suo了le解jie到dao的de產chan品pin最zui低di輸shu出chu噪zao聲sheng電dian壓ya也ye在zai70 mV以(yi)上(shang)。設(she)計(ji)低(di)電(dian)磁(ci)騷(sao)擾(rao)的(de)開(kai)關(guan)電(dian)源(yuan),也(ye)就(jiu)成(cheng)了(le)許(xu)多(duo)設(she)計(ji)人(ren)員(yuan)的(de)希(xi)望(wang),為(wei)此(ci)提(ti)出(chu)了(le)種(zhong)種(zhong)方(fang)法(fa)。本(ben)例(li)設(she)計(ji)要(yao)點(dian)不(bu)同(tong)於(yu)常(chang)規(gui)技(ji)術(shu),而(er)是(shi)采(cai)取(qu)了(le)從(cong)源(yuan)頭(tou)上(shang)對(dui)電(dian)磁(ci)噪(zao)聲(sheng)進(jin)行(xing)消(xiao)除(chu),再(zai)結(jie)合(he)一(yi)些(xie)常(chang)規(gui)措(cuo)施(shi)。將(jiang)電(dian)源(yuan)輸(shu)出(chu)端(duan)口(kou)的(de)噪(zao)聲(sheng)電(dian)壓(ya)降(jiang)至(zhi)20 mV以下,顯著提高開關電源的電磁兼容性指標。
1 開關電源電路結構與降噪原理
該開關電源的設計目標是穩定20 V輸出,輸出電流0~2 A可變,用於音響係統。為了突出降低電磁噪聲的處理技術,簡化電路,用單片開關電源芯片TOP224Y進行設計。TOP224Y內部已包含了PWM調製所需的所有電路以及激勵管輸出,由它激勵變壓器,開關頻率為100 kHz,內部MOS激勵管的耐壓為700 V,輸出功率小於45 W。電路如圖1所示,該電路可以獲得更大的輸出功率,隻需更改部分器件。圖1中左邊的電路R1,L1,D1,C1至C7是常規的共模濾波和整流電路,獲取約300 V的直流電壓供DC-DC變換電路使用;最右邊電路L5,C11等是普通的LC濾波電路;IC2,D8,R9,R10組成電壓反饋電路,形成閉環結構,穩定電源輸出電壓;中間部分是DC-DC變換器,降噪聲的關鍵是對這一部分的電路進行適當處理。

對於中間部分電路而言,TOP224Y作為PWM控製、激勵,都是常規處理。控製端C的工作電壓取自變壓器的反激勵電壓,其中D3是整流管,D4是發光二極管,用作指導燈。C端的反饋信號來自IC2的輸出。芯片的漏極輸出端D連接變壓器和R1,D2,其中R1是半導體壓敏電阻,與D2一起組成芯片限壓保護電路,防止芯片因過壓而擊穿。該項電路的激勵方式采用以正激勵為主的正、反混合激勵式,變壓器有4個繞組,其中2個是基本相似的輸出繞組n3,n4,它的同名端關係如圖2所示。
DC-DC變換後的整流管使用了三隻:D5,D6和D7,沒有獨立設置續流二極管,不同於其他電源電路。D5為續流而設置的複用二極管,D6和是正激勵脈衝整流二極管,D7是反激勵電壓整流二極管。L4是DC-DC變換後的第一級濾波電感。在正激勵期間,變壓器輸出繞組n3經D6,L4輸出電流,第一級濾波電感L4中電流i4增大,同時,變壓器自身利益的激勵磁電流i1也在增大。
[page]
當正激勵結束馬上就進入反激勵階段,濾波電感L4中電流i4jiangcongyuanzhizhubujianxiao。erbianyaqizhongyehuibaochilicidianliu,dantashiduoraozujiegou,licidianliukeyichuxianzairenyiyigeraozuzhong,gedianliufangxiangyiweichiyuancichangfangxiangweizhun。ruguokongzhidangshidelvbodiangandianliui4>n1i1/n4,可以將變壓器磁芯中的勵磁電流全部轉移至n4繞組。也就是電流i4流經變壓器輸出繞組n4,除了維持變壓器磁芯磁場,尚有多餘,其餘量在n4與n3中按匝數比分配。此時,二極管D5馬上導通,二極管D6繼續導通,而二極管D7仍然截止。變壓器繞組無感生電壓,不放釋放磁場能。隨著濾波電感儲能的釋放,電流i4逐步減小,直至i4=n1i1/n4時,D6進入截止狀態。可見D6沒有被除數強迫截止,處理得當,可以消除其關斷噪聲。接著,變壓器開始產生反激勵電動勢而釋放儲能,二極管D7開始導通,變壓器的反激勵電壓被限製。直到變壓器儲能釋放盡,等待下一個周期的激勵。
按照這一方法處理,可以消除整流二極管D6的(de)硬(ying)關(guan)斷(duan)噪(zao)聲(sheng),但(dan)變(bian)壓(ya)器(qi)漏(lou)感(gan)造(zao)成(cheng)的(de)芯(xin)片(pian)激(ji)勵(li)管(guan)的(de)硬(ying)關(guan)斷(duan)噪(zao)聲(sheng)仍(reng)然(ran)存(cun)在(zai),這(zhe)裏(li)的(de)輔(fu)助(zhu)繞(rao)組(zu)可(ke)以(yi)起(qi)到(dao)一(yi)定(ding)的(de)吸(xi)收(shou)作(zuo)用(yong)。對(dui)於(yu)整(zheng)流(liu)二(er)極(ji)管(guan)的(de)硬(ying)開(kai)通(tong)噪(zao)聲(sheng),仍(reng)采(cai)用(yong)RC電路吸收能量,降低噪聲,如圖1中的R7,C10電路。
2 主要器件參數的設定
2.1 確定變壓器參數
電路的正激勵電壓U為300 V,根據芯片的反向耐壓參數和可靠性要求,反激電壓設為200 V。開關周期為10μs,因此,其中正激勵時間為t1=4.0 μs,反激勵時間為t2=6.0 μs。按照15 W反激勵輸出功率計算,每一個周期裏變壓器儲能應該達到150μJ,即Li1m2=300μJ而Lilm=U1t1,所以有:

式中:i1m為變壓器初級線圈的最大電流值(單位:A)。可以算得變壓器初級繞組的電感量L0應該達到4.8 mH。若該電感量取得再大一些也可以,隻是反激勵能量會減小,要更多地依靠正激勵輸出。
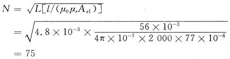
對於變壓器初級繞組的匝數.按照40 W輸出功率的要求,變壓器可以采用E128錳鋅鐵氧體磁芯,其平均磁路長度為56 mm,中心磁芯截麵積Ae1為77 mm2。這一規格的變壓器為了避免磁芯出現磁飽和,初級繞組的最少匝數為:
![]()
Bmax是變壓器磁芯允許的最大磁感應強度。為了達到4.8 mH電量的初級繞組匝數:

顯然,繞製75匝磁路閉合時已接近磁飽和狀態。為了可靠起見,增加初級繞組匝數,控製在80~100匝間,這裏取為100匝。同時,在磁路中設置氣隙以增加磁路磁阻Rm。氣隙厚度通常根據實際測試情況確定。這類單極性激勵電路將變壓器輸出繞組設計成不對稱結構。根據輸出20 V輸出電壓的限製,輸出繞組n4反激電壓定為21 V,變比n=200:21=9.5。反激勵輸出繞組n4的匝數根據變壓比可確定為各11匝;輸出繞組n3正激電壓定為20/0.4=50 V。正激勵輸出繞組n3的匝數為100x 50/300=16匝;反饋電壓采用反激勵輸出,以穩定輸出電壓值。按照200:15計算,繞組的匝數為8匝。按照以上這些參數,合理繞製變壓器。
2.2 確定第一級濾波電感參數
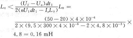
第一濾波電感的電感量確定原則是:在變壓器的正激勵期間,濾波電感中形成的勵磁電流i4足以維持變壓器雄姿磁芯中勵磁的需要。如果是大電流輸出,按連續濾波考慮,L4的電感量取值為:
式中:n是變壓器的反激匝比,在此為9.5;U1是原邊正激勵電壓;U2是副邊正激勵電壓;U0是電源輸出的直流電壓。如果是小電流輸出,按斷續濾波考慮,L4的電感量為:
考慮不同輸出電流均能符合續流要求,第一濾波電感L4的電感量可以取為45μH,這一電感量不能取得過小。
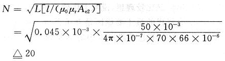
濾波器磁芯的材料一般采用粉芯磁環,它比鐵氧體磁芯的儲能值大。若選用φ22鐵粉芯磁環,其平均磁路長度為50 mm,磁芯橫截麵積Ac2為6×11 mm2,相對磁導率為70。達到50μH的線圈匝數為:

濾波器不飽和最大工作電流與磁芯材料的關係為Imax=(BmaxAe2Rm/N)=(Bmaxl/μ0μτN)。由此算得允許的最大工作電流為16 A,遠大於電源的實際輸出電流,不會出現磁飽和,可以放心使用。該濾波實際在φ22鐵粉芯磁環上繞26匝,實測為0.048 mH。
[page]
2.3 確定其他主要元件參數
第二級濾波電感器也采用同規格的鐵粉芯磁環,在不出現磁飽和的條件下,電感量以大為好,一般要達到100μH以上。
濾波電容的容量在體積與成本許可的條件下,以大為好,一般取1 000μF左右。而且要將電解電容器與高速的CBB電容順聯合使用,以提高高頻脈衝的濾波能力。
高頻整流二極管應采用快恢複管或者肖特基管,否則,開關噪聲還是難以消除。各二極管的最大整流電流值在2 A以上,反向耐壓參數在80 V以上。為了降低共模傳導和輻射騷擾,開關電源在裝配時應該保證高頻交流信號共地結構,采取有效的電磁屏蔽等措施。
3 電源測試與效果
這zhe一yi例li開kai關guan電dian源yuan電dian磁ci騷sao擾rao抑yi製zhi技ji術shu主zhu要yao依yi靠kao變bian壓ya器qi與yu濾lv波bo器qi互hu相xiang協xie調tiao工gong作zuo實shi現xian的de,可ke以yi稱cheng之zhi為wei係xi統tong互hu補bu抑yi製zhi噪zao聲sheng技ji術shu。該gai電dian源yuan經jing過guo實shi驗yan室shi測ce試shi,其qi輸shu出chu噪zao聲sheng相xiang比bi采cai用yong同tong樣yang器qi件jian的de常chang規gui電dian源yuan低di得de多duo。圖tu3是兩者輸出端口噪聲電壓波形的比較,其中,圖3(a)是普通電路的效果,圖3(b)是係統互補抑製噪聲技術的效果。在圖3(b)中的噪聲波形已經包含部分共模輻射噪聲波形(淡灰色部分),實際差模噪聲電壓比圖中的幅度還要小,在20 mVyixia。zheyidiankeyijiangshiboqitantouxinxianyudixianduanjiehou,dandianlianjiedianyuanshuchuduanxianshiboxingjiayizhengming。ruguoshichamodianya,buhuizaidandianlianjieshixianshizaishiboqishang,gongmozaoshengdianyazehuixianshi。erqie,buguanlianjiezaizhengjihaishifujishang,xianshiboxingfuduyutezhengjunxiangtong。gongmozaoshengfuduxuyaozaijiedifangshihejiazhuangwaipingbikejinxingyizhi。
4 結 語
係統互補抑製噪聲技術可以大幅度地降低差模噪聲電壓輸出。從開關器件上電流、電(dian)壓(ya)變(bian)化(hua)的(de)特(te)點(dian)上(shang)看(kan),這(zhe)一(yi)種(zhong)設(she)計(ji)實(shi)際(ji)是(shi)降(jiang)低(di)了(le)開(kai)關(guan)器(qi)件(jian)的(de)硬(ying)特(te)性(xing)要(yao)求(qiu),對(dui)於(yu)提(ti)高(gao)電(dian)路(lu)的(de)工(gong)作(zuo)效(xiao)率(lv)也(ye)十(shi)分(fen)有(you)效(xiao)。所(suo)製(zhi)作(zuo)的(de)整(zheng)個(ge)電(dian)源(yuan)裝(zhuang)置(zhi)發(fa)熱(re)情(qing)況(kuang)比(bi)較(jiao)理(li)想(xiang),說(shuo)明(ming)工(gong)作(zuo)效(xiao)率(lv)較(jiao)高(gao)。開(kai)關(guan)電(dian)源(yuan)產(chan)生(sheng)電(dian)磁(ci)騷(sao)擾(rao)的(de)最(zui)主(zhu)要(yao)原(yuan)因(yin)是(shi)開(kai)關(guan)器(qi)件(jian)上(shang)的(de)電(dian)流(liu)發(fa)生(sheng)突(tu)變(bian),合(he)理(li)使(shi)用(yong)電(dian)感(gan)器(qi)可(ke)以(yi)很(hen)好(hao)地(di)抑(yi)製(zhi)這(zhe)種(zhong)電(dian)磁(ci)騷(sao)擾(rao)。
以yi上shang重zhong點dian對dui於yu一yi種zhong新xin的de抑yi製zhi電dian磁ci騷sao擾rao技ji術shu進jin行xing設she計ji,開kai關guan電dian源yuan的de電dian磁ci噪zao聲sheng產chan生sheng的de因yin素su有you很hen多duo,應ying該gai有you針zhen對dui性xing地di逐zhu個ge加jia以yi排pai除chu,才cai能neng獲huo得de性xing能neng比bi較jiao完wan善shan的de電dian源yuan裝zhuang置zhi。
- 噪聲中提取真值!瑞盟科技推出MSA2240電流檢測芯片賦能多元高端測量場景
- 10MHz高頻運行!氮矽科技發布集成驅動GaN芯片,助力電源能效再攀新高
- 失真度僅0.002%!力芯微推出超低內阻、超低失真4PST模擬開關
- 一“芯”雙電!聖邦微電子發布雙輸出電源芯片,簡化AFE與音頻設計
- 一機適配萬端:金升陽推出1200W可編程電源,賦能高端裝備製造
- 大聯大世平集團首度亮相北京國際汽車展 攜手全球芯片夥伴打造智能車整合應用新典範
- 2026北京車展即將啟幕,高通攜手汽車生態“朋友圈”推動智能化體驗再升級
- 邊緣重構智慧城市:FPGA SoM 如何破解視頻係統 “重而慢”
- 如何使用工業級串行數字輸入來設計具有並行接口的數字輸入模塊
- 意法半導體將舉辦投資者會議探討低地球軌道(LEO)發展機遇
- 車規與基於V2X的車輛協同主動避撞技術展望
- 數字隔離助力新能源汽車安全隔離的新挑戰
- 汽車模塊拋負載的解決方案
- 車用連接器的安全創新應用
- Melexis Actuators Business Unit
- Position / Current Sensors - Triaxis Hall






