陶老師談技術之二:關於開關電源變壓器需做電流迭加測試的說明(一)
發布時間:2009-03-23
- 開關變壓器伏秒容量參數的考慮和測量
- 伏秒容量VT表示:一個變壓器能夠承受多高的輸入電壓和多長時間的衝擊
- 在變壓器伏秒容量一定的條件下,輸入電壓越高,變壓器能夠承受衝擊的時間就越短
- 反之,輸入電壓越低,變壓器能夠承受衝擊的時間就越長
- 一定工作電壓條件下,變壓器伏秒容量越大,變壓器鐵芯中磁通密度就越低,變壓器鐵芯就不容易飽和
- 變壓器鐵芯的氣隙長度留得越大,其平均導磁率就越小,而變壓器鐵芯就不容易飽和
- 但變壓器鐵芯的平均導磁率越小,變壓器初、次級線圈之間的漏感就越大
- 在實際應用中,一般把變壓器磁芯有效導磁率下降到最大值的70%時的溫度,定義為居裏溫度點
- 對開關電源變壓器進行設計時工作溫度最好不要超過110℃
編者按:本(ben)文(wen)是(shi)陶(tao)顯(xian)芳(fang)老(lao)師(shi)專(zhuan)門(men)為(wei)進(jin)行(xing)公(gong)司(si)內(nei)部(bu)培(pei)訓(xun)而(er)寫(xie)的(de)文(wen)章(zhang)。非(fei)常(chang)感(gan)謝(xie)陶(tao)老(lao)師(shi)把(ba)它(ta)拿(na)出(chu)來(lai)和(he)大(da)家(jia)分(fen)享(xiang)。陶(tao)老(lao)師(shi)撰(zhuan)寫(xie)文(wen)章(zhang)的(de)初(chu)衷(zhong)是(shi)為(wei)了(le)提(ti)高(gao)本(ben)公(gong)司(si)產(chan)品(pin)的(de)質(zhi)量(liang)水(shui)平(ping)和(he)提(ti)高(gao)本(ben)公(gong)司(si)設(she)計(ji)人(ren)員(yuan)的(de)業(ye)務(wu)水(shui)平(ping);xianzaiwomenjiangtazaigengdadefanweineituiguang,xiangxinhuiduitigaozhenggechanyedejishushuipingdailaibangzhu。zheshiyijianfeichanghaodeshiqing,zaiciganxietaolaoshi。dajiakanhouyouyiwenkezaidianziyuanjianjishuwangtaolaoshizhuchide“電子係統電磁兼容與電路保護”專家論壇裏提出,陶老師會給大家滿意的答複。
長期以來,我們公司產品中使用的開關電源變壓器、行推動變壓器、高壓包等等開關變壓器,在對其進行參數設計或測試的時候,隻關心它的電感參數以及輸入、輸出電壓、電流參數,而對於它的伏秒容量參數就很少有人進行考慮和測量。
最zui近jin,由you於yu公gong司si部bu份fen產chan品pin的de開kai關guan電dian源yuan出chu了le故gu障zhang,才cai開kai始shi意yi識shi到dao開kai關guan電dian源yuan變bian壓ya器qi伏fu秒miao容rong量liang參can數shu的de重zhong要yao性xing。因yin此ci,這zhe裏li簡jian單dan介jie紹shao一yi下xia什shen麼me是shi開kai關guan電dian源yuan變bian壓ya器qi的de伏fu秒miao容rong量liang,然ran後hou再zai分fen析xi怎zen樣yang對dui開kai關guan電dian源yuan變bian壓ya器qi的de伏fu秒miao容rong量liang進jin行xing測ce量liang,並bing定ding義yi其qi測ce量liang方fang法fa。
一、什麼是變壓器的伏秒容量
圖1是反激式開關電源的工作原理圖,我們公司幾乎所有的CRT電視機都是采用反激式開關電源。

在圖1中,當輸入電壓E加於開關電源變壓器初級線圈N1的(de)兩(liang)端(duan)時(shi),由(you)於(yu)變(bian)壓(ya)器(qi)次(ci)級(ji)線(xian)圈(quan)產(chan)生(sheng)的(de)電(dian)動(dong)勢(shi)與(yu)流(liu)過(guo)二(er)極(ji)管(guan)的(de)電(dian)流(liu)方(fang)向(xiang)正(zheng)好(hao)相(xiang)反(fan),相(xiang)當(dang)於(yu)所(suo)有(you)次(ci)級(ji)線(xian)圈(quan)均(jun)開(kai)路(lu),此(ci)時(shi)開(kai)關(guan)變(bian)壓(ya)器(qi)相(xiang)當(dang)於(yu)一(yi)個(ge)電(dian)感(gan)L1。其等效電路如圖2-a) 所示,圖2-b) 是開關接通時,電感兩端的電壓和流過電感L1的電流。

從圖2keyikanchu,liuguobianyaqidedianliuzhiyoulicidianliu,bianyaqitiexinzhongdecitongliangquanbudoushiyoulicidianliuchanshengde。ruguokaiguandianyuanbianyaqichujixianquandedianganliangshihengdingde,huobianyaqitiexindedaocilvyongyuanbaochibubian;那na麼me,當dang控kong製zhi開kai關guan接jie通tong以yi後hou,流liu過guo變bian壓ya器qi初chu級ji線xian圈quan的de勵li磁ci電dian流liu就jiu會hui隨sui時shi間jian增zeng加jia而er線xian性xing增zeng加jia,變bian壓ya器qi鐵tie心xin中zhong的de磁ci通tong量liang也ye隨sui時shi間jian增zeng加jia而er線xian性xing增zeng加jia。根gen據ju電dian磁ci感gan應ying定ding理li:

式中e1為變壓器初級線圈產生的電動勢,L1為變壓器初級線圈的電感量,
為變壓器鐵心中的磁通量,E為變壓器初級線圈的輸入電壓。其中磁通量 還可以表示為:

上式中,k是一個與單位製相關的係數,S為變壓器鐵心的導磁麵積,B為磁感應強度,也稱磁通密度,即:單位麵積的磁通量。把(2)式代入(1)式,並進行積分:

由此求得:

或

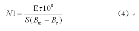
(4)式就是計算反激式開關電源變壓器初級線圈N1繞組匝數的公式。式中,N1為變壓器初級線圈N1繞組的最少匝數,S為變壓器鐵心的導磁麵積,單位:平方厘米;Bm為變壓器鐵心的最大磁感應強度,單位:高斯;Br為變壓器鐵心的剩餘磁感應強度,單位:高斯),Br一般簡稱剩磁;τ = Ton,為控製開關的接通時間,簡稱脈衝寬度,或電源開關管導通時間的寬度,單位:秒;E為工作電壓,單位為伏。式中的指數是統一單位用的,選用不同單位製,指數的值也不一樣,這裏選用CGS單位製,即:長度為厘米(cm),磁感應強度為高斯(Gs),磁通單位為麥克斯韋(Mx)。
(5)式中,
就是變壓器的伏秒容量,即:伏秒容量等於輸入脈衝電壓幅度與脈衝寬度的乘積,這裏我們把伏秒容量用VT來表示。伏秒容量VT表示:一個變壓器能夠承受多高的輸入電壓和多長時間的衝擊。
zaibianyaqifumiaorongliangyidingdetiaojianxia,shurudianyayuegao,bianyaqinenggouchengshouchongjideshijianjiuyueduan,fanzhi,shurudianyayuedi,bianyaqinenggouchengshouchongjideshijianjiuyuechang;而在一定的工作電壓條件下,變壓器的伏秒容量越大,變壓器的鐵芯中的磁通密度就越低,變壓器鐵芯就不容易飽和。
當變壓器的鐵芯麵積固定以後,變壓器的伏秒容量主要就是由磁通增量⊿B(⊿B = Bm-Br)的大小以及變壓器初級線圈的匝數N1來決定。另外,我們知道,磁感應強度是由磁場強度來決定的,即磁通增量⊿B也是由磁場強度來決定的。如圖3所示。圖3中,虛線B為wei變bian壓ya器qi鐵tie芯xin的de初chu始shi磁ci化hua曲qu線xian,初chu始shi磁ci化hua曲qu線xian就jiu是shi變bian壓ya器qi鐵tie芯xin還hai沒mei有you帶dai磁ci,第di一yi次ci使shi用yong時shi的de磁ci化hua曲qu線xian,一yi旦dan變bian壓ya器qi鐵tie芯xin帶dai上shang磁ci後hou,初chu始shi磁ci化hua曲qu線xian就jiu不bu再zai存cun在zai了le。因yin此ci,在zai開kai關guan變bian壓ya器qi中zhong,變bian壓ya器qi鐵tie芯xin的de磁ci化hua一yi般ban都dou不bu是shi按an初chu始shi磁ci化hua曲qu線xian來lai進jin行xing工gong作zuo的de,而er是shi隨sui著zhe磁ci場chang強qiang度du增zeng加jia和he減jian少shao,磁ci感gan應ying強qiang度du將jiang沿yan著zhe磁ci化hua曲qu線xianab和ba,或磁化曲線cd和dc,來回變化。當磁場強度增加時,磁場強度對變壓器鐵芯進行充磁;當磁場強度減少時,磁場強度對變壓器鐵芯進行退磁。
磁場強度由0增加到H1,對應的磁感應強度由Br1沿著磁化曲線ab增加到Bm1;而當磁場強度由H1下降到0時,對應的磁感應強度將由Bm1沿著磁化曲線ba下降到Br1。如果不考慮磁通的方向,磁通的變化量就是⊿B1 ,即磁通增量⊿B1 = Bm1-Br1。如果磁場強度進一步增大,由0增加到H2,則磁化曲線將沿著曲線cd和dc進行,對應產生的磁通增量⊿B2 = Bm2-Br2。

由圖3中可以看出,對應不同的磁場強度,即不同的磁化電流,磁通變化量也是不一樣的,並且磁通變化量與磁場強度不是線性關係。圖4是磁感應強度與磁場強度相互變化的函數曲線圖。圖4中,曲線B是磁感應強度與磁場強度對應變化的曲線;曲線 為導磁率與磁場強度對應變化的曲線。其中:


由圖4中(zhong)可(ke)以(yi)看(kan)出(chu),導(dao)磁(ci)率(lv)最(zui)大(da)的(de)地(di)方(fang)並(bing)不(bu)是(shi)磁(ci)感(gan)應(ying)強(qiang)度(du)或(huo)磁(ci)場(chang)強(qiang)度(du)最(zui)小(xiao)或(huo)最(zui)大(da)的(de)地(di)方(fang),而(er)是(shi)位(wei)於(yu)磁(ci)感(gan)應(ying)強(qiang)度(du)或(huo)磁(ci)場(chang)強(qiang)度(du)的(de)某(mou)個(ge)中(zhong)間(jian)值(zhi)的(de)地(di)方(fang)。當(dang)導(dao)磁(ci)率(lv)達(da)到(dao)最(zui)大(da)值(zhi)之(zhi)後(hou),導(dao)磁(ci)率(lv)將(jiang)隨(sui)著(zhe)磁(ci)感(gan)應(ying)強(qiang)度(du)或(huo)磁(ci)場(chang)強(qiang)度(du)增(zeng)大(da),而(er)迅(xun)速(su)下(xia)降(jiang);當導磁率下降到將要接近0的時候,我們就認為變壓器鐵芯已經開始飽和。如圖中Bs和Hs。
由於導磁率的變化範圍太大,且容易飽和,因此,一般開關電源使用的開關變壓器都要在變壓器鐵芯中間留氣隙。圖5-a) 是中間留有氣隙變壓器鐵芯的原理圖,圖5-b) 是中間留有氣隙的變壓器鐵芯的磁化曲線圖,及計算變壓器鐵芯最佳氣隙長度的原理圖。
圖5-b) 中,虛線是沒留有氣隙變壓器鐵芯的磁化曲線,實線是留有氣隙變壓器鐵芯的磁化曲線;曲線b是留有氣隙變壓器鐵芯的等效磁化曲線,其等效導磁率,即曲線的斜率為
;
是留有氣隙變壓器鐵芯的平均導磁率;
是沒留有氣隙時變壓器鐵芯的導磁率。

由圖5可以看出,變壓器鐵芯的氣隙長度留得越大,其平均導磁率就越小,而變壓器鐵芯就不容易飽和;但變壓器鐵芯的平均導磁率越小,變壓器初、次級線圈之間的漏感就越大。因此,變壓器鐵芯氣隙長度的設計是一個比較複雜的計算過程,並且還要根據開關電源的輸出功率以及電壓變化範圍(占空比變化範圍)綜合考慮。比如,對於行輸出回掃變壓器(高壓包)鐵芯氣隙長度的設計就要比主開關電源變壓器的鐵芯氣隙長度的設計容易非常多。
shijishangwomengongsishiyongdekaiguandianyuanbianyaqijibenshangmeiyourenjinxingguoqixichangdudesheji,ershishejishigenjubianyaqidegonglvbabianyaqichujidianganlianghezashubijisuanhaohou,jiurangbianyaqishengchanchangzijitiaojiebianyaqidetiexinqixichangdu,yicilaimanzushejishideyaoqiu,zhezhongshejifangfahenrongyichuxianzhiliangwenti,zuidadezhiliangwentijiushicixinchuxiancitongmidubaohe。
另外,變壓器磁芯也是一種半導體材料(金屬氧化物),很多半導體器件就是用金屬氧化物來製造的,如熱敏電阻、場效應管等。半導體材料的特性就是受溫度的影響很靈敏,當溫度上升到一定範圍以後,變壓器磁芯的電阻率就會變小,並開始導電。
因此,dangwendushenggaodaoyidingfanweiyihou,zaibianyaqicixinneibujiuhuichanshenghendadewoliusunhao,bingshitiexinyouxiaodaocilvjisuxiajiang。zhegeshibianyaqicixinyouxiaodaocilvjisuxiajiangdewendudian,womenbatachengweijuliwendudian。zaishijiyingyongzhong,yibanwomenkeyibabianyaqicixinyouxiaodaocilvxiajiangdaozuidazhide70%時的溫度,定義為居裏溫度點。如圖6所示。

圖6是日本TDK公司高導磁率材料H5C4係列磁芯初始導磁率 隨溫度變化的曲線圖,其居裏溫度大約為105℃。
由圖6可(ke)以(yi)看(kan)出(chu),變(bian)壓(ya)器(qi)磁(ci)芯(xin)的(de)使(shi)用(yong)環(huan)境(jing)溫(wen)度(du),對(dui)變(bian)壓(ya)器(qi)的(de)性(xing)能(neng)影(ying)響(xiang)是(shi)非(fei)常(chang)大(da)的(de)。但(dan)我(wo)們(men)在(zai)使(shi)用(yong)開(kai)關(guan)電(dian)源(yuan)變(bian)壓(ya)器(qi)的(de)時(shi)候(hou),就(jiu)很(hen)少(shao)有(you)人(ren)去(qu)考(kao)慮(lv)或(huo)檢(jian)測(ce)變(bian)壓(ya)器(qi)磁(ci)芯(xin)的(de)居(ju)裏(li)溫(wen)度(du)。大(da)部(bu)份(fen)開(kai)關(guan)電(dian)源(yuan)變(bian)壓(ya)器(qi)磁(ci)芯(xin)的(de)居(ju)裏(li)溫(wen)度(du)都(dou)在(zai)120℃左右,因此,我們對開關電源變壓器進行設計時工作溫度最好不要超過110℃。
- 噪聲中提取真值!瑞盟科技推出MSA2240電流檢測芯片賦能多元高端測量場景
- 10MHz高頻運行!氮矽科技發布集成驅動GaN芯片,助力電源能效再攀新高
- 失真度僅0.002%!力芯微推出超低內阻、超低失真4PST模擬開關
- 一“芯”雙電!聖邦微電子發布雙輸出電源芯片,簡化AFE與音頻設計
- 一機適配萬端:金升陽推出1200W可編程電源,賦能高端裝備製造
- 築基AI4S:摩爾線程全功能GPU加速中國生命科學自主生態
- 一秒檢測,成本降至萬分之一,光引科技把幾十萬的台式光譜儀“搬”到了手腕上
- AI服務器電源機櫃Power Rack HVDC MW級測試方案
- 突破工藝邊界,奎芯科技LPDDR5X IP矽驗證通過,速率達9600Mbps
- 通過直接、準確、自動測量超低範圍的氯殘留來推動反滲透膜保護
- 車規與基於V2X的車輛協同主動避撞技術展望
- 數字隔離助力新能源汽車安全隔離的新挑戰
- 汽車模塊拋負載的解決方案
- 車用連接器的安全創新應用
- Melexis Actuators Business Unit
- Position / Current Sensors - Triaxis Hall



