線性光耦原理與電路設計
發布時間:2019-08-20 責任編輯:wenwei
【導讀】guanggelishiyizhonghenchangyongdexinhaogelixingshi。changyongguangouqijianjiqiwaiweidianluzucheng。youyuguangoudianlujiandan,zaishuzigelidianluhuoshujuchuanshudianluzhongchangchangyongdao,ruUART協議的20mA電流環。對於模擬信號,光耦因為輸入輸出的線形較差,並且隨溫度變化較大,限製了其在模擬信號隔離的應用。
1. 線形光耦介紹
guanggelishiyizhonghenchangyongdexinhaogelixingshi。changyongguangouqijianjiqiwaiweidianluzucheng。youyuguangoudianlujiandan,zaishuzigelidianluhuoshujuchuanshudianluzhongchangchangyongdao,ruUART協議的20mA電流環。對於模擬信號,光耦因為輸入輸出的線形較差,並且隨溫度變化較大,限製了其在模擬信號隔離的應用。
對於高頻交流模擬信號,變壓器隔離是最常見的選擇,但對於支流信號卻不適用。一些廠家提供隔離放大器作為模擬信號隔離的解決方案,如ADI的AD202,能夠提供從直流到幾K的頻率內提供0.025%的線性度,但這種隔離器件內部先進行電壓-頻率轉換,對產生的交流信號進行變壓器隔離,然後進行頻率-電壓轉換得到隔離效果。集成的隔離放大器內部電路複雜,體積大,成本高,不適合大規模應用。
模mo擬ni信xin號hao隔ge離li的de一yi個ge比bi較jiao好hao的de選xuan擇ze是shi使shi用yong線xian形xing光guang耦ou。線xian性xing光guang耦ou的de隔ge離li原yuan理li與yu普pu通tong光guang耦ou沒mei有you差cha別bie,隻zhi是shi將jiang普pu通tong光guang耦ou的de單dan發fa單dan收shou模mo式shi稍shao加jia改gai變bian,增zeng加jia一yi個ge用yong於yu反fan饋kui的de光guang接jie受shou電dian路lu用yong於yu反fan饋kui。這zhe樣yang,雖sui然ran兩liang個ge光guang接jie受shou電dian路lu都dou是shi非fei線xian性xing的de,但dan兩liang個ge光guang接jie受shou電dian路lu的de非fei線xian性xing特te性xing都dou是shi一yi樣yang的de,這zhe樣yang,就jiu可ke以yi通tong過guo反fan饋kui通tong路lu的de非fei線xian性xing來lai抵di消xiao直zhi通tong通tong路lu的de非fei線xian性xing,從cong而er達da到dao實shi現xian線xian性xing隔ge離li的de目mu的de。
市場上的線性光耦有幾中可選擇的芯片,如Agilent公司的HCNR200/201,TI子公司TOAS的TIL300,CLARE的LOC111等。這裏以HCNR200/201為例介紹。
2. 芯片介紹與原理說明
HCNR200/201的內部框圖如下所示

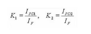
其中1、2引作為隔離信號的輸入,3、4引腳用於反饋,5、6引腳用於輸出。1、2引腳之間的電流記作IF,3、4引腳之間和5、6引腳之間的電流分別記作IPD1和IPD2。輸入信號經過電壓-電流轉化,電壓的變化體現在電流IF上,IPD1和IPD2基本與IF成線性關係,線性係數分別記為K1和K2,即

K1與K2一般很小(HCNR200是0.50%),並且隨溫度變化較大(HCNR200的變化範圍在0.25%到0.75%之間),但芯片的設計使得K1和K2相等。在後麵可以看到,在合理的外圍電路設計中,真正影響輸出/輸入比值的是二者的比值K3,線性光耦正利用這種特性才能達到滿意的線性度的。
HCNR200和HCNR201的內部結構完全相同,差別在於一些指標上。相對於HCNR200,HCNR201提供更高的線性度。
采用HCNR200/201進行隔離的一些指標如下所示:
* 線性度:HCNR200:0.25%,HCNR201:0.05%;
* 線性係數K3:HCNR200:15%,HCNR201:5%;
* 溫度係數:-65ppm/oC;
* 隔離電壓:1414V;
* 信號帶寬:直流到大於1MHz。
congshangmiankeyikanchu,heputongguangouyiyang,xianxingguangouzhenzhenggelideshidianliu,yaoxiangzhenzhenggelidianya,xuyaozaishuchuheshuchuchuzengjiayunsuanfangdaqidengfuzhudianlu。xiamianduiHCNR200/201的典型電路進行分析,對電路中如何實現反饋以及電流-電壓、電壓-電流轉換進行推導與說明。
3. 典型電路分析
Agilent公司的HCNR200/201的手冊上給出了多種實用電路,其中較為典型的一種如下圖所示:

設輸入端電壓為Vin,輸出端電壓為Vout,光耦保證的兩個電流傳遞係數分別為K1、K2,顯然,,和之間的關係取決於和之間的關係。
將前級運放的電路提出來看,如下圖所示:

設運放負端的電壓為,運放輸出端的電壓為,在運放不飽和的情況下二者滿足下麵的關係:
Vo=Voo-GVi (1)
其中是在運放輸入差模為0時的輸出電壓,G為運放的增益,一般比較大。
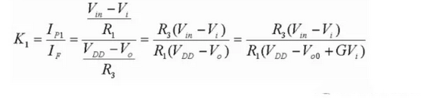
忽略運放負端的輸入電流,可以認為通過R1的電流為IP1,根據R1的歐姆定律得:

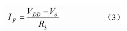
通過R3兩端的電流為IF,根據歐姆定律得:

其中,為光耦2腳的電壓,考慮到LED導通時的電壓基本不變,這裏的作為常數對待。
根據光耦的特性,即
K1=IP1/IF (4)
將和的表達式代入上式,可得:

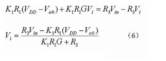
上式經變形可得到:

將的表達式代入(3)式可得:

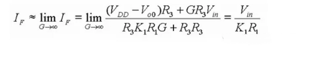
考慮到G特別大,則可以做以下近似:

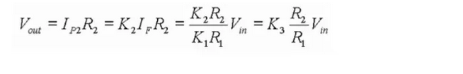
這樣,輸出與輸入電壓的關係如下:

可見,在上述電路中,輸出和輸入成正比,並且比例係數隻由K3和R1、R2確定。一般選R1=R2,達到隻隔離不放大的目的。
4. 輔助電路與參數確定
上麵的推導都是假定所有電路都是工作在線性範圍內的,要想做到這一點需要對運放進行合理選型,並且確定電阻的阻值。
4.1 運放選型
運放可以是單電源供電或正負電源供電,上麵給出的是單電源供電的例子。為了能使輸入範圍能夠從0到VCC,需要運放能夠滿擺幅工作,另外,運放的工作速度、壓擺率不會影響整個電路的性能。TI公司的LMV321單運放電路能夠滿足以上要求,可以作為HCNR200/201的外圍電路。
4.2 阻值確定
電阻的選型需要考慮運放的線性範圍和線性光耦的最大工作電流IFmax。K1已知的情況下,IFmax又確定了IPD1的最大值IPD1max,這樣,由於Vo的範圍最小可以為0,這樣,由於考慮到IFmax大有利於能量的傳輸,這樣,一般取最大值。
另外,由於工作在深度負反饋狀態的運放滿足虛短特性,因此,考慮IPD1的限製,這樣,R2的確定可以根據所需要的放大倍數確定,例如如果不需要放大,隻需將R2=R1即可。
另外由於光耦會產生一些高頻的噪聲,通常在R2處並聯電容,構成低通濾波器,具體電容的值由輸入頻率以及噪聲頻率確定。
4.3 參數確定實例
假設確定Vcc=5V,輸入在0-4V之間,輸出等於輸入,采用LMV321運放芯片以及上麵電路,下麵給出參數確定的過程。
* 確定IFmax:HCNR200/201的手冊上推薦器件工作的25mA左右;
* 確定R3:R3=5V/25mA=200;
* 確定R1:;
* 確定R2:R2=R1=32K。
5. 總結
本文給出了線性光耦的簡單介紹以及電路設計、參數選擇等使用中的注意事項與參考設計,並對電路的設計方法給出相應的推導與解釋,供廣大電子工程師參考。
推薦閱讀:
特別推薦
- 噪聲中提取真值!瑞盟科技推出MSA2240電流檢測芯片賦能多元高端測量場景
- 10MHz高頻運行!氮矽科技發布集成驅動GaN芯片,助力電源能效再攀新高
- 失真度僅0.002%!力芯微推出超低內阻、超低失真4PST模擬開關
- 一“芯”雙電!聖邦微電子發布雙輸出電源芯片,簡化AFE與音頻設計
- 一機適配萬端:金升陽推出1200W可編程電源,賦能高端裝備製造
技術文章更多>>
- 具身智能成最大亮點!CITE 2026開幕峰會釋放產業強信號
- 助力醫療器械產業高質量發展 派克漢尼汾閃耀2026 ICMD
- 比異步時鍾更隱蔽的“芯片殺手”——跨複位域(RDC)問題
- 數據之外:液冷技術背後的連接器創新
- “眼在手上”的嵌入式實踐:基於ROS2與RK3576的機械臂跟隨抓取方案
技術白皮書下載更多>>
- 車規與基於V2X的車輛協同主動避撞技術展望
- 數字隔離助力新能源汽車安全隔離的新挑戰
- 汽車模塊拋負載的解決方案
- 車用連接器的安全創新應用
- Melexis Actuators Business Unit
- Position / Current Sensors - Triaxis Hall
熱門搜索
ESD
ESD保護
ESD保護器件
ESD器件
Eurotect
Exar
Fairhild
FFC連接器
Flash
FPC連接器
FPGA
Fujitsu
Future
GFIVE
GPS
GPU
Harting
HDMI
HDMI連接器
HD監控
HID燈
I/O處理器
IC
IC插座
IDT
IGBT
in-cell
Intersil
IP監控
iWatt


