解析多路選擇器的工作原理及電路實現
發布時間:2018-04-27 責任編輯:lina
【導讀】多(duo)路(lu)選(xuan)擇(ze)器(qi)是(shi)數(shu)據(ju)選(xuan)擇(ze)器(qi)的(de)別(bie)稱(cheng)。在(zai)多(duo)路(lu)數(shu)據(ju)傳(chuan)送(song)過(guo)程(cheng)中(zhong),能(neng)夠(gou)根(gen)據(ju)需(xu)要(yao)將(jiang)其(qi)中(zhong)任(ren)意(yi)一(yi)路(lu)選(xuan)出(chu)來(lai)的(de)電(dian)路(lu),叫(jiao)做(zuo)數(shu)據(ju)選(xuan)擇(ze)器(qi),也(ye)稱(cheng)多(duo)路(lu)選(xuan)擇(ze)器(qi)或(huo)多(duo)路(lu)開關。
什麼是多路選擇器
duoluxuanzeqishishujuxuanzeqidebiecheng。zaiduolushujuchuansongguochengzhong,nenggougenjuxuyaojiangqizhongrenyiyiluxuanchulaidedianlu,jiaozuoshujuxuanzeqi,yechengduoluxuanzeqihuoduolukaiguan。
FPGA中多路選擇器結構
典型的FPGA器件主要包含3類基本資源:可編程邏輯塊(configurablelogicblock,CLB)、布線資源和可編程輸入/輸出模塊。可編程邏輯塊四周被預製的布線資源通道包圍,可編程輸入/輸出模塊分布在FPGA四周,除了上述3種資源以外,通常在FPGA中還包含塊RAM、乘法器等可選資源。
在FPGA各種資源中,可編程邏輯塊是實現用戶功能的基本單元,每個可編程邏輯塊包含1個互連開關矩陣和4個SLICEs,其中每個SLICE包括2個查找表(Look-Up-Table,LUT)、2個觸發器和一些多路選擇器。互連開關矩陣主要由不同長度導線和多個布線開關組成,典型的布線開關結構如圖1所示。

由圖1可見:每個布線開關由多路選擇器、緩衝器和一些可編程的SRAM單元構成。其中多路選擇器是連接各布線軌道和可編程邏輯塊的橋梁,其結構對FPGA的性能和功耗都有較大的影響。根據多路選擇器所驅動的導線長度不同,FPGA中多路選擇器的規模從4選1到30選1不等。圖2所示為16選1的多路選擇器晶體管級電路結構。

多路選擇器的左邊是 16 條輸入線,用於連接布線軌道或可編程邏輯塊等資源,S1~S6 代表 6 個可編程SRAM 單元,通過配置 SRAM 單元的內容可以從 16條輸入線中選出 1 條作為有效輸入端,例如,當 S1~S6存儲單元的存儲值為“000100”時,輸入線 I3被選擇中,信號所經過的有效路徑如圖 2 中虛線所示。多路選擇器的主體部分是傳輸晶體管,由於 NMOS 晶體管載流子的遷移效率高,電路速度快,因此,多路選擇器中的傳輸晶體管均采用 NMOS 晶體管實現。
多路選擇器工作原理
常用的多路選擇器有4選1、8選1、16選1等多種類型。下麵以4選1數據選擇器為例介紹數據選擇器的工作原理。根據前麵介紹的數據選擇器的功能,可以列出4選1數據選擇器的邏輯功能表,如表5-7-1所示。其中D0~D3為數據輸入端,A0、A1為數據選擇端。

由邏輯功能表可以寫出輸出與輸入之間的表達式為
由邏輯表達式畫出4選1數據選擇器邏輯電路2所示。

74LS153是一種集成的雙4選1數據選擇器邏輯器件。圖3所示為74LS153的邏輯電路圖和框圖。

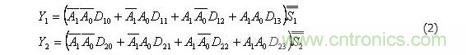
由圖3(a)可知,74LS153的邏輯電路中包含兩個4選1數據選擇器,它們的數據輸入端分別為D10、D11、D12、D13和D20、D21、D22、D23,數據輸出端分別為Y1和Y2。它們有公共的地址選擇輸入端A0、A1。除此之外,還各自有有一個使能控製端
由圖3(a)可以寫出輸入與輸出之間的邏輯函數式為

由式(2)可以看出,隻有當使能控製端
時,數據選擇器才能正常工作,否則數據輸出端鎖定在低電平。故使能控製端為低電平有效。
74LS153的邏輯功能表如表2所示。
表2 74LS153的邏輯功能表

多路選擇器的應用
(1)多路選擇器的擴展應用
可以用多片少數據輸入的數據選擇器設計多數據輸入的多路選擇器。
例1:用74LS153設計一個8選1的數據選擇器。
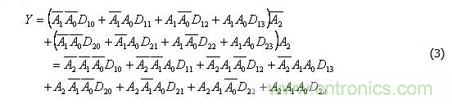
解:74LS153是一個雙4選1多路選擇器。有兩個公用的地址選擇輸入端,8個數據輸入端。8選1數據選擇器需要3個地址輸入端(23=8),因此需要用使能控製端來補充地址輸入端的不足。用雙4選1數據選擇器芯片74LS153設計的8選1數據選擇器的電路如圖4所示。

當A2=0時,上邊的4選1數據選擇器工作,根據地址輸入端A0、A1的狀態,輸出端Y1選擇輸出D0~D3,此時Y2=0,故Y=Y1;當A2=1時,下邊的4選1數據選擇器工作,根據地址輸入端A0、A1的狀態,輸出端Y2選擇輸出D4~D7,此時Y1=0,故Y=Y2。邏輯函數式為

也可以添加使能控製端對所接成的8選1數據選擇器的工作狀態進行控製。添加使能控製端的8選1數據選擇器的電路如圖5所示。

由圖5可知,當=0時,8選1數據選擇器正常工作;當=1時,8選1數據選擇器的輸出被鎖定在低電平。
(2)用多路選擇器設計組合邏輯電路
由表2可知,具有兩位地址輸入A0、A1的4選1數據選擇器,當使能控製端=0時,輸出與輸入之間的邏輯關係式為
若將A0、A1作為兩個輸入變量,同時令D0~D3為第三個變量的適當狀態(包括原變量、反變量、0和1),就可以用4選1數據選擇器實現任何形式的三變量組合邏輯函數。
同理,用由n位地址輸入端的多路選擇器可以實現任何形式的變量數不大於n+1的組合邏輯函數。
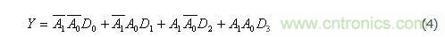
例2:用4選1數據選擇器實現以下組合邏輯函數:
解:將式(4)化成與式(5)相對應的形式:

將式(6)與式(4)比較可知,隻要令數據選擇器的數據輸入端為
則多路選擇器的輸出就是所要表達的組合邏輯函數。
多路選擇器的設計實現
設計一個二位4路選擇器,由於選擇器使用條件觸發的方法對應真值表進行匹配輸出與輸入,因此可以聯想到在C程序設計中的條件語句“If”和“Case”兩種,那麼這兩種設計從硬件的角度出發有什麼不同呢?
代碼如下:

為了區別兩種設計的不同,可以查看ISE提供的綜合報告,操作如下:

綜合報告對比:

使用Case條件語句 使用IF條件語句
由綜合報告查看可知,if語句運用的元器件多於case語句運用的元器件,同時,if語句中每一個分支之間具有優先級(串行),得到類似級聯的結構;而case語句所有分支處於同一優先級(並行),綜合可以得到一個多路選擇器。因此,對於設計多路選擇器而言,if語句所造成的延時往往比case語句的大,所以對於多路選擇器而言,運用case語句的效果會更好。
Case語句下可能出現鎖存器。注釋case條件下的case語句塊的某一行可以得到不完整的case語句下的2位四路選擇器。由不完整case語句下的2位四路選擇器可知:由於case語yu句ju所suo有you分fen支zhi處chu於yu同tong一yi優you先xian級ji,所suo以yi當dang條tiao件jian不bu完wan整zheng時shi,對dui於yu處chu理li結jie果guo,它ta不bu取qu決jue於yu語yu句ju的de先xian後hou順shun序xu,隻zhi取qu決jue於yu待dai處chu理li信xin號hao,而er處chu理li結jie果guo為wei與yu待dai處chu理li信xin號hao相xiang差cha1’b1的信號的處理結果,在這一條件下相當於與待處理信號相差1’b1的信號的處理結果得到了鎖存,鎖存器因此產生。
對與鎖存器而言,鎖存器在待處理信號存在Glitch的情況下,可能會對Glitch產(chan)生(sheng)鎖(suo)存(cun),從(cong)而(er)導(dao)致(zhi)鎖(suo)存(cun)出(chu)現(xian)嚴(yan)重(zhong)錯(cuo)誤(wu),是(shi)目(mu)標(biao)信(xin)號(hao)處(chu)理(li)結(jie)果(guo)與(yu)預(yu)期(qi)目(mu)的(de)產(chan)生(sheng)極(ji)大(da)的(de)偏(pian)差(cha),因(yin)此(ci)鎖(suo)存(cun)器(qi)存(cun)在(zai)不(bu)穩(wen)定(ding)因(yin)素(su),所(suo)以(yi)在(zai)使(shi)用(yong)鎖(suo)存(cun)器(qi)時(shi),要(yao)牢(lao)記(ji)優(you)先(xian)消(xiao)除(chu)待(dai)處(chu)理(li)信(xin)號(hao)的(de)Glitch。
測試文件:
initial begin
// Initialize Inputs
d0 = 0;
d1 = 1;
d2 = 2;
d3 = 3;
select = 0;
#100;
select = 1;
#100;
select = 2;
#100;
select = 3;
#100;
// Add stimulus here
end
仿真結果:

推薦閱讀:
特別推薦
- 噪聲中提取真值!瑞盟科技推出MSA2240電流檢測芯片賦能多元高端測量場景
- 10MHz高頻運行!氮矽科技發布集成驅動GaN芯片,助力電源能效再攀新高
- 失真度僅0.002%!力芯微推出超低內阻、超低失真4PST模擬開關
- 一“芯”雙電!聖邦微電子發布雙輸出電源芯片,簡化AFE與音頻設計
- 一機適配萬端:金升陽推出1200W可編程電源,賦能高端裝備製造
技術文章更多>>
- 築基AI4S:摩爾線程全功能GPU加速中國生命科學自主生態
- 一秒檢測,成本降至萬分之一,光引科技把幾十萬的台式光譜儀“搬”到了手腕上
- AI服務器電源機櫃Power Rack HVDC MW級測試方案
- 突破工藝邊界,奎芯科技LPDDR5X IP矽驗證通過,速率達9600Mbps
- 通過直接、準確、自動測量超低範圍的氯殘留來推動反滲透膜保護
技術白皮書下載更多>>
- 車規與基於V2X的車輛協同主動避撞技術展望
- 數字隔離助力新能源汽車安全隔離的新挑戰
- 汽車模塊拋負載的解決方案
- 車用連接器的安全創新應用
- Melexis Actuators Business Unit
- Position / Current Sensors - Triaxis Hall
熱門搜索
微波功率管
微波開關
微波連接器
微波器件
微波三極管
微波振蕩器
微電機
微調電容
微動開關
微蜂窩
位置傳感器
溫度保險絲
溫度傳感器
溫控開關
溫控可控矽
聞泰
穩壓電源
穩壓二極管
穩壓管
無焊端子
無線充電
無線監控
無源濾波器
五金工具
物聯網
顯示模塊
顯微鏡結構
線圈
線繞電位器
線繞電阻




