采用MAX606設計12V的小功率開關電源
發布時間:2018-03-19 來源:貿澤電子設計圈 責任編輯:lina
【導讀】在便攜式儀器中,隻能使用電池為係統供電。通常電池電壓比較低,係統中經常需要使用小功率開關電(dian)源(yuan)電(dian)路(lu)對(dui)低(di)電(dian)壓(ya)進(jin)行(xing)電(dian)壓(ya)變(bian)換(huan),滿(man)足(zu)係(xi)統(tong)中(zhong)不(bu)同(tong)功(gong)能(neng)模(mo)塊(kuai)的(de)需(xu)求(qiu)。然(ran)而(er),使(shi)用(yong)開(kai)關(guan)電(dian)源(yuan)必(bi)將(jiang)引(yin)入(ru)紋(wen)波(bo)噪(zao)聲(sheng),如(ru)何(he)降(jiang)低(di)該(gai)紋(wen)波(bo)噪(zao)聲(sheng)成(cheng)為(wei)係(xi)統(tong)設(she)計(ji)的(de)一(yi)個(ge)重(zhong)要(yao)問(wen)題(ti)。開(kai)關(guan)電(dian)源(yuan)的(de)紋(wen)波(bo)抑(yi)製(zhi)器(qi)通(tong)常(chang)使(shi)用(yong)C 型、LC型、CLC 型無源濾波器。π 型三階低通CLC 濾波器由於其結構簡單,體積小,性能高等優點得到了廣泛的應用。
根據開關電源的公式,輸出紋波和輸出電容值成反比,電感內電流波動大小和電感值成反比。理論上使用標稱值大的電容、電感可以得到較好的紋波抑製效果。實際應用中,CLC 電路中不同類型的電解電容及不同標稱值的電容、電感對電源紋波的抑製效果究竟有什麼樣的影響尚無相關文章指出。因此,有必要對CLC 濾波電路進行實際測試研究。
本文采用MAX606 設計了12 V 的小功率開關電源,使用CLC 濾波器對電源輸出紋波進行抑製。通過使用不同類型電解電容及不同標稱值的電容、電感,研究了CLC 濾波器的特性,得到了降低小功率開關電源紋波的簡單方法。
1.電路設計
MAX606 是一款小型CMOS 升壓式DC/DC 轉換器,其輸入範圍3.0~5.5 V,輸出固定5 V/12 V 或可調輸出範圍Vin~12.5 V,精度為±4%。MAX606 的開關頻率高達1 MHz,在5 V輸出時可提供高達180 mA 的電流,廣泛應用於PCMCIA 卡、存儲卡、數碼相機和手持式儀器中。
設計電路如圖1 所示,測試時輸入端使用3.6 V 的鋰電池進行供電,使用π 型CLC 低通濾波電路對MAX606 輸出端進行紋波濾波。

圖1 虛線框內為CLC 濾波電路,通過更改Cin、Cout、L1 的相關參數,研究其對輸出紋波的抑製特性。
2.π 型CLC 濾波特性分析
考慮到電源輸出阻抗,將圖1 虛線框中所示CLC 電路的等效電路用圖2 表示,為了便於分析加入了負載RL,RS 為電源輸出阻抗。

圖2 中Ui 為開關電源的輸出端,Uo 為輸出到負載兩端的電壓。
2.1 CLC 濾波電路理論分析
電源信號輸入C1 兩端之後,負載RL上的直流電壓為:

式(1)表明加入電感L 將使UL bianxiao,yingxiangdianyuandefuzaitiaozhenglv。ruoyaoshishuchudianyawending,yingxuanyongdengxiaochuanliandianzuxiaodedianganqijian,dianganqidedengxiaochuanliandianzuyouqiraozhidaoxiandezhiliudianzujueding。
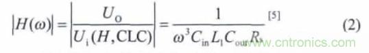
對於開關電源輸出而言,其交流信號即為電源紋波信號根據CLC 濾波電路傳遞函數:

從式(2)可以看出,隨頻率增大,紋波衰減越大;Cin、Cout 越大,紋波衰減越大,因此,π 型CLC 濾波器對電源紋波有一定的抑製作用。但是,式(2)是在L、C 均為理想情況下得出的,並未考慮實際電感電容的材料及它們的寄生參數。
2.2實際測試分析
測試數據由泰克示波器TDS2022B (200 MHz、2 GS/s)、交流數字毫伏表KH-DD 型(10 Hz~2 MHz)測量所得,負載使用ZX21 型直流多值電阻器。
2.2.1 無濾波電路時電源輸出紋波波形
圖3 所示為空載時MAX606 輸出電壓紋波波形(Uo≈12 V),即開關紋波,其頻率為1.18 kHz,波形穩定,Vpp=240 mV。圖4 所示為負載120 Ω 時輸出電壓的紋波波形,從圖4 中可以看出加入負載後電源紋波變得比較複雜,其最高Vpp達到1.2 V。為係統供電時,該紋波將會對係統造成嚴重危害,必須對此紋波進行抑製。
2.2.2 π 型CLC 濾波電路中不同類型電解電容下紋波隨負載的變化
在圖1 的CLC 濾波電路中,Cin、Cout 分別使用三種常見類型的電解電容(容值為220 μF/16 V),電感使用環形電感(電感值120 μH),依次改變負載大小,使用交流毫伏表測量其紋波電壓有效值,得到如圖5 所示的曲線圖。



從圖5 曲線可以看出,隨負載阻值逐漸增大,電源紋波有效值先急劇增大,後逐漸減小,在160 Ω 時三種類型電解電容輸出紋波均很低,滿足一般係統的電源紋波要求。從圖5 還可以看出整體水平上,普通直插式鋁電解電容紋波抑製能力最差,貼片鉭電解次之,貼片鋁電解濾波效果最佳。當負載阻值小於500 Ω 時,貼片鋁電解濾波效果最佳。當負載阻值大於500 Ω 時,鉭電解的濾波效果是最佳的。
圖6 所示為負載是300 Ω shibutongleixingdianjiedianrongxiasuoceliangdaodewenboboxing,keyimingxiankanchushiyongtiepianlvdianjiewenbozuixiao,shiyongputonglvdianjiewenbojiaodaqiewenbojuyoumaoci,shiyongtiepiantandianjiewenboyousuojianxiaoqiemaociyeyouhendachengdudegaishan。

圖7 所示為負載120 Ω 時不同類型電解電容下所測量得到的紋波波形。對比圖4 可以看出,經過π 型CLC 濾波後,紋波已被抑製到很小範圍。從圖7 可以看出,此時鉭電解電容的紋波抑製能力最好,紋波波形中毛刺幅度也變小。

綜上所述,考慮到實際工作時,一般電路所需電流均為數十毫安,在整體水平上推薦濾波電路使用貼片鋁電解電容。當負載很重(負載值小)時,則推薦使用鉭電解電容器。
2.2.3 不同電感值下紋波隨負載的變化
電容固定(貼片鉭電解220 μF/16 V),改變圖1 中CLC 濾波電路的電感值大小,測量不同負載時紋波的有效值,得到如圖8 所示的曲線圖,其中電感使用的是弓形電感。

從圖8 中可以看出,隨電感值增大,電源紋波減小,對於mH 級電感消除紋波效果非常明顯。采用1 mH 電感時,紋波電壓有效值僅3 mV,采用4.7 mH 時,紋波電壓有效值可降低至1.8 mV。
圖9 所示為負載為300 Ω 時不同電感值下紋波波形圖,從圖9 中可以看出,隨電感值增大,紋波被抑製程度越大,輸出紋波越小。當電感值增大到1 mH 時,紋波效果最好,且輸出基本上沒有毛刺。

2.2.4 不同電容值下負載對紋波的影響
圖10 所示為在不同電容值(貼片鉭電解)下,改變電感和負載並測量負載上的電源紋波有效值所得出的曲線圖。
從圖10 中可以看出,隨電感、負(fu)載(zai)的(de)變(bian)化(hua)紋(wen)波(bo)抑(yi)製(zhi)趨(qu)勢(shi)大(da)體(ti)相(xiang)同(tong),可(ke)以(yi)看(kan)出(chu)電(dian)容(rong)的(de)增(zeng)大(da)對(dui)紋(wen)波(bo)的(de)抑(yi)製(zhi)較(jiao)小(xiao),且(qie)紋(wen)波(bo)有(you)效(xiao)值(zhi)並(bing)不(bu)隨(sui)電(dian)容(rong)值(zhi)的(de)增(zeng)大(da)而(er)得(de)到(dao)抑(yi)製(zhi),電(dian)感(gan)值(zhi)的(de)增(zeng)大(da)對(dui)電(dian)源(yuan)紋(wen)波(bo)的(de)抑(yi)製(zhi)起(qi)決(jue)定(ding)性(xing)的(de)作(zuo)用(yong)。但(dan)是(shi),選(xuan)擇(ze)電(dian)容(rong)值(zhi)時(shi)宜(yi)選(xuan)取(qu)100 μF 以上的電容,才可以得到較好的紋波抑製效果。



總結
π 型CLC 濾lv波bo電dian路lu在zai小xiao功gong率lv開kai關guan電dian源yuan中zhong能neng夠gou起qi到dao較jiao好hao的de紋wen波bo抑yi製zhi效xiao果guo,通tong過guo改gai變bian電dian解jie電dian容rong的de類lei型xing,調tiao整zheng電dian容rong值zhi和he電dian感gan值zhi的de大da小xiao,能neng夠gou顯xian著zhu提ti高gao抑yi製zhi紋wen波bo性xing能neng。對duiCLC 濾波電路進行的特性分析能夠為設計高質量小功率開關電源提供參考。
特別推薦
- 噪聲中提取真值!瑞盟科技推出MSA2240電流檢測芯片賦能多元高端測量場景
- 10MHz高頻運行!氮矽科技發布集成驅動GaN芯片,助力電源能效再攀新高
- 失真度僅0.002%!力芯微推出超低內阻、超低失真4PST模擬開關
- 一“芯”雙電!聖邦微電子發布雙輸出電源芯片,簡化AFE與音頻設計
- 一機適配萬端:金升陽推出1200W可編程電源,賦能高端裝備製造
技術文章更多>>
- 芯科科技Tech Talks與藍牙亞洲大會聯動,線上線下賦能物聯網創新
- 冬季續航縮水怎麼辦?揭秘熱管理係統背後的芯片力量
- 從HDMI 2.1到UFS 5.0:SmartDV以領先IP矩陣夯實邊緣計算基石
- 小空間也能實現低噪供電!精密測量雙極性電源選型指南,覆蓋小功率到大電流全場景
- 直擊藍牙亞洲大會 2026:Nordic 九大核心場景演繹“萬物互聯”新體驗
技術白皮書下載更多>>
- 車規與基於V2X的車輛協同主動避撞技術展望
- 數字隔離助力新能源汽車安全隔離的新挑戰
- 汽車模塊拋負載的解決方案
- 車用連接器的安全創新應用
- Melexis Actuators Business Unit
- Position / Current Sensors - Triaxis Hall
熱門搜索
風力渦輪機
風能
風扇
風速風向儀
風揚高科
輔助駕駛係統
輔助設備
負荷開關
複用器
伽利略定位
幹電池
幹簧繼電器
感應開關
高頻電感
高通
高通濾波器
隔離變壓器
隔離開關
個人保健
工業電子
工業控製
工業連接器
工字型電感
功率表
功率電感
功率電阻
功率放大器
功率管
功率繼電器
功率器件




